Automated synthesis of a complex multibranched peptide using the Biotage® Initiator+ Alstra™ ‘Branches’ software feature
By Biotage
Synthesis of branched peptides is very challenging. Here we show the synthesis of a complex multi-branched peptide and how this process can be simplified using the innovative Biotage® Initiator+ Alstra™ ‘Branches’ software feature.
Introduction
There is growing interest in the therapeutic potential of branched peptides.1 There are many examples of interesting peptides which have a branched structure such as multiple antigenic peptides which have been used in the development of peptide-vaccine systems,2,3 cell penetrating branched peptides that can bind to RNA4 and self assembling peptide fibres for the development of novel peptide scaffolds.5 Constructing dendritic peptides with different peptide branches can be very challenging and automating such a synthesis is also difficult. Using the ‘Branches’ software feature on the Biotage® Initiator+ Alstra™ microwave peptide synthesizer, these automation challenges can now be operationally simplified with the benefit of saving time. Here we demonstrate the fully automated synthesis of a complex multi-branched peptide (1) synthesized on a lysine scaffold and programmed using the unique ‘Branches’ feature.

Figure 1: Biotage® 10 ml reactor vial used in the synthesis

Figure 2: Branched peptide 1 and ‘Branches’ representation of 1.
Experimental
Materials
All materials were obtained from commercial suppliers; Sigma-Aldrich (acetonitrile, formic acid, triethylsilane (TES), hydrazine and dichloromethane (DCM)), Iris Biotech GmbH (Fmoc-amino acids, Boc-amino acids, N,N-dimethylformamide (DMF), N methylpyrrolidone (NMP), N-[(1H-benzotriazol-1-yl) (dimethylamino)methylene]-N-methylmethanaminium hexafluorophosphate N-oxide (HBTU), 1-Hydroxy-7-azabenzotriazole (HOAt), trifluoroacetic acid (TFA), piperidine and N,N-diisopropylethylamine (DIPEA)) and Rapp Polymere GmbH (TentaGel R Rink Amide resin). Milli-Q (Millipore) water was used for LC-MS analysis. Nα-9-fluorenylmethoxycarbonyl (Fmoc) amino acids contained the following side-chain protecting groups: tert-butyl (Asp, Glu, Thr, Ser), 2,2,4,6,7-pentamethyldihydrobenzofuran-5-sulfonyl (Pbf, for Arg) and 1-(4,4-dimethyl-2,6-dioxocyclohex-1-ylidene)ethyl (Dde, for Lys).
Peptide synthesis and analysis
The peptide was prepared by Fmoc solid-phase peptide synthesis on a Biotage® Initiator+ Alstra™ microwave peptide synthesizer. The synthesis was carried out on TentaGel R Rink Amide resin (loading 0.18 mmol/g) on a 0.1 mmol scale in a 10 ml reactor vial. The branched peptide 1 was synthesized on a lysine scaffold, using a Dde protecting group for the side chain ε-amino groups of lysine which form the branch points.
Nα-Fmoc deprotection was performed at room temperature (RT) in two stages by treating the resin with piperidine/DMF (2:3) for 3 min followed by piperidine/DMF (1:4) for 15 minutes. The resin was then washed with NMP (x3), DCM (x1), then 1 x DMF (x1).
Peptide couplings were performed using 6.2 eq. of amino acid, 6.2 eq. of HOAt, 6 eq. of HBTU, and 11.1 eq. of DIEA in NMP. A coupling time of 10 minutes at 75 °C was employed and after a coupling step the resin was washed with NMP (x3), DCM (x1), then 1 x DMF (x1).
After the synthesis was completed the resin was washed with DCM (x4) and thoroughly dried. The peptide was cleaved from the resin with TFA-H2O-TES (95:3:2) for 5 min. and then for 2 h. The peptide was precipitated with cold diethyl ether. Analysis of the peptide was performed by LCMS on a Dionex Ultimate 3000 with Chromeleon 6.80SP3 software coupled to an ESI-MS (MSQ Plus Mass Spectrometer, Thermo). The peptide was analyzed on a Biotage® Resolux™ 300 Å C18 column (5 μm, 150 × 4.6 mm) with a flow rate of 1.0 mL/min. The following solvent system was used: solvent A, water containing 0.1% formic acid; solvent B, acetonitrile containing 0.1% formic acid. The column was eluted using a linear gradient from 5%–70% of solvent B.


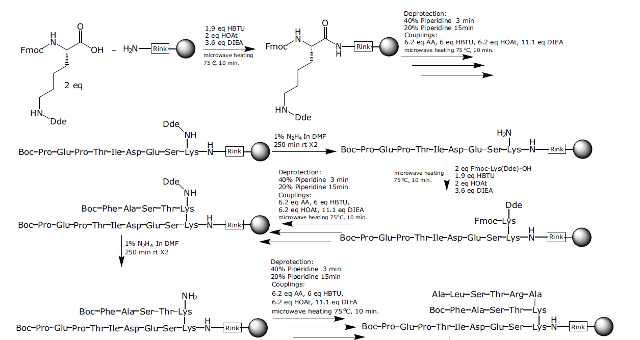
Scheme 1: Synthesis of branched peptide 1.
Results and discussion
Biotage® Initiator+ Alstra™ ‘Branches’ software helps with the synthesis of these branched peptides by providing a tool to design and execute the automated synthesis and simplifies the programming process and enables the methods to be applied easily.
The synthesis of the complex branched peptide (‘ALSTRA-FASTPEPTIDES’) was assembled on a lysine scaffold, using the Dde protecting group for the side chain ε-amino groups of lysine which form the branch points using the procedures described above (Scheme 1). Note that Fmoc-Lys(Dde)-OH was coupled for 10 minutes at 75 °C using 2 eq. of amino acid, 2 eq. of HOAt, 1.9 eq. of HBTU, and 3.6 eq. of DIEA in NMP. This lower number of
equivalents along with microwave heating delivered high coupling efficiencies and enabled a reduction in the cost of the synthesis.
Removal of the Dde group was performed using 1% hydrazine in DMF. Note that these conditions can also remove the Fmoc protecting group. For this reason the N-terminal Pro and Phe residues were protected with a Boc group. The synthesis was fully automated and was set up in such a way that first the Fmoc-Lys(Dde)-OH was anchored to the resin and then the branch with sequence Pro-Glu-Pro-Thr-Ile-Asp-Glu-Ser (‘PEPTIDES’) was synthesized with a Boc protecting group on the N-terminal Pro. The Dde group on the ε-amino group of the C-terminal Lys was removed by treatment with 1% hydrazine in DMF (3 ml) and reacted for 250 min. The Dde deprotection procedure was repeated to ensure that the Dde group was completely removed. Then the second branch with sequence Phe-Ala-Ser-Thr (‘FAST’) was assembled, again with a Boc group on the N-terminus. The next Dde group was removed as described above and then the last branch Ala-Leu-Ser-Thr-Arg-Ala (‘ALSTRA’) was assembled.

Figure 3: RP-HPLC chromatogram and ESI-MS of the branched peptide 1
The resin was washed and the peptide released from the solid support as described above to afford the desired branched peptide 1 with a crude purity of 78 % and confirmed by ESI-MS (Figure 3), calculated average isotopic composition for C93H154N26O32: 2148.13 Da. Found: m/z: 1074.9 [M+2H]2+, 717.1 [M+3H]3+.
Conclusion
Here we have demonstrated the fully automated synthesis of a complex multi-branched peptide (‘ALSTRA-FAST-PEPTIDES’) on a lysine scaffold. This series of linear operations would normally be very challenging to programme and synthesize on a peptide synthesizer, however, the procedure can be operationally simplified using the innovative Biotage® Initiator+ Alstra™ ‘Branches’ software feature.
References
1. Pini, A.; Falciani, C; Bracci, L., Curr. Protein Pept. Sci. 2009, 10, 194–5.
2. Tam, J. P., Proc. Natl. Acad. Sci. USA 1988, 85, 5409–5413.
3. Fujita, Y; Taguchi, H., Chem. Cent. J. 2011, 5, 48–55.
4. Bryson, D. I., Zhang, W.; McLendon, P. M.; Reineke, T. M.; Santos, W. L., ACS Chem. Biol. 2012, 7, 210–217.
5. Ryadnov, M. G.; Woolfson, D. N., Angew. Chem. Int. Ed. 2003, 42, 3021–3023.
Acknowledgements
Prof. Knud J. Jensen and Dr. Kasper Kildegaard Sørensen at the University of Copenhagen.
Literature number: AN094