Manual extraction of PFAS in drinking water in compliance with EPA method 533
By Biotage
Introduction
Per- and polyfluorinated alkyl substances (PFAS) have been used abundantly since their inception in the twentieth century and have become a closely monitored class of compounds within environmental testing. This application note outlines a procedure for those seeking to follow EPA Method 533. The data presented was generated using a Biotage® VacMaster™ vacuum manifold with a PFAS free Large Volume Extraction (LVE) kit in conjunction with EVOLUTE® PFAS 533 SPE cartridges and a TurboVap® LV system.
Equipment and materials used
Biotage
- Biotage® VacMaster™ 20 Sample processing station (with 16 mL rack), p/n 121-2016, fitted with polypropylene (PFAS free) stopcocks (p/n 121-0009-PP)
- Biotage® VacMaster™ LVE Kit (PFAS) for 1, 3, 6 mL SPE Cartridges (p/n 121-2190)
- Biotage® VacMaster™ Trap Kit, 10 L (p/n 121-2195)
- EVOLUTE® PFAS 533 500 mg/6 mL SPE Cartridges, p/n 604-0050-C-533
- EVOLUTE® PFAS 533 200 mg/6 mL SPE Cartridges, p/n 604-0020-C-533
- TurboVap® LV Automated Solvent Evaporation System, p/n 415000
- TurboVap® LV Multi Rack (48 Positions,10–20 mm Tubes), p/n 414964
Wellington Laboratories
- Native Analyte Primary Dilution Standard (PDS): 25 comp., 1.2 mL, p/n EPA-533PAR
- Isotope Dilution Standard PDS: 16 comp., 1.2 mL, p/n EPA-533ES
- Isotope Performance Standard PDS: 3 comp., 1.2 mL, p/n EPA-533IS
Agilent
- InfinityLab PFC Delay Cartridge, 4.6 x 30 mm, p/n 5062-8100
- ZORBAX RRHD Eclipse Plus C18, 95 Å, 2.1 x 50 mm, 1.8 µm, p/n 959757-902
Sigma-Aldrich
- Ammonium Acetate, ACS Reagent Grade ≥ 98%, p/n 32301-500G
- Sodium Phosphate Monobasic Monohydrate, ACS Reagent Grade, ≥ 98%, p/n S9638-500G
- Sodium Phosphate Dibasic, ACS Reagent Grade ≥ 99% , p/n S9763-500G
Honeywell
- Water, ACS Certified, HPLC Grade, p/n AH365-4
- Methanol, Burdick & Jackson™ , LC-MS Grade, p/n LC230-4
VWR
- 15 mL Polypropylene Centrifuge Tubes with Caps, p/n 21008-670
- 250 mL Polypropylene Wide Mouth Bottles, p/n 414004-125
Fisher Chemical
- Ammonium Hydroxide, ACS Plus, p/n A669S-500
Analytes
|
Analyte Name |
Acronym |
CAS |
|
Target Analytes |
|
|
|
11-Chloroeicosafluoro-3-oxaundecane-1-sulfonic acid |
11Cl-PF3OUdS |
763051-92-9 |
|
9-Chlorohexadecafluoro-3-oxanonane-1-sulfonic acid |
9Cl-PF3ONS |
756426-58-1 |
|
4,8-Dioxa-3H-perfluorononanoic acid |
ADONA |
919005-14-4 |
|
Hexafluoropropylene oxide dimer acid |
HFPO-DA |
13252-13-6 |
|
Nonafluoro-3,6-dioxaheptanoic acid |
NFDHA |
151772-58-6 |
|
Perfluorobutanoic acid |
PFBA |
375-22-4 |
|
Perfluorobutanesulfonic acid |
PFBS |
375-73-5 |
|
1H,1H,2H,2H-Perfluorodecane sulfonic acid |
8:2FTS |
39108-34-4 |
|
Perfluorodecanoic acid |
PFDA |
335-76-2 |
|
Perfluorododecanoic acid |
PFDoA |
307-55-1 |
|
Perfluoro(2-ethoxyethane)sulfonic acid |
PFEESA |
113507-82-7 |
|
Perfluoroheptanesulfonic acid |
PFHpS |
375-92-8 |
|
Perfluoroheptanoic acid |
PFHpA |
375-85-9 |
|
1H,1H,2H,2H-Perfluorohexane sulfonic acid |
4:2FTS |
757124-72-4 |
|
Perfluorohexanesulfonic acid |
PFHxS |
355-46-4 |
|
Perfluorohexanoic acid |
PFHxA |
307-24-4 |
|
Perfluoro-3-methoxypropanoic acid |
PFMPA |
377-73-1 |
|
Perfluoro-4-methoxybutanoic acid |
PFMBA |
863090-89-5 |
|
Perfluorononanoic acid |
PFNA |
375-95-1 |
|
1H,1H,2H,2H-Perfluorooctane sulfonic acid |
6:2FTS |
27619-97-2 |
|
Perfluorooctanesulfonic acid |
PFOS |
1763-23-1 |
|
Perfluorooctanoic acid |
PFOA |
335-67-1 |
|
Perfluoropentanoic acid |
PFPeA |
2706-90-3 |
|
Perfluoropentanesulfonic acid |
PFPeS |
2706-91-4 |
|
Perfluoroundecanoic acid |
PFUnA |
2058-94-8 |
|
Isotope Performance Standards |
|
|
|
Perfluoro-n-[2,3,4-13C3]butanoic acid |
13C3-PFBA |
|
|
Perfluoro-[1,2-13C2]octanoic acid |
13C2-PFOA |
|
|
Sodium perfluoro-1-[1,2,3,4-13C4]octanesulfonate |
13C4-PFOS |
|
|
Isotope Dilution Standards |
|
|
|
Perfluoro-n-[1,2,3,4-13C4]butanoic acid |
13C4-PFBA |
|
|
Perfluoro-n-[1,2,3,4,5-13C5]pentanoic acid |
13C5-PFPeA |
|
|
Sodium perfluoro-1-[2,3,4-13C3]butanesulfonate |
13C3-PFBS |
|
|
Sodium 1H,1H,2H,2H-perfluoro-1-[1,2-13C2]hexane sulfonate |
13C2-4:2FTS |
|
|
Perfluoro-n-[1,2,3,4,6-13C5]hexanoic acid |
13C5-PFHxA |
|
|
2,3,3,3-Tetrafluoro-2-(1,1,2,2,3,3,3-heptafluoropropoxy-13C3-propanoic acid |
13C3-HFPO-DA |
|
|
Perfluoro-n-[1,2,3,4-13C4]heptanoic acid |
13C4-PFHpA |
|
|
Sodium perfluoro-1-[1,2,3-13C3]hexanesulfonate |
13C3-PFHxS |
|
|
Sodium 1H,1H,2H,2H-perfluoro-1-[1,2-13C2]-octane sulfonate |
13C2-6:2FTS |
|
|
Perfluoro-n-[13C8]octanoic acid |
13C8-PFOA |
|
|
Perfluoro-n-[13C9]nonanoic acid |
13C9-PFNA |
|
|
Sodium perfluoro-[13C8]octanesulfonate |
13C8-PFOS |
|
|
Sodium 1H,1H,2H,2H-perfluoro-1-[1,2-13C2]-decane sulfonate |
13C2-8:2FTS |
|
|
Perfluoro-n-[1,2,3,4,5,6-13C6]decanoic acid |
13C6-PFDA |
|
|
Perfluoro-n-[1,2,3,4,5,6,7-13C7]undecanoic acid |
13C7-PFUnA |
|
|
Perfluoro-n-[1,2-13C2]dodecanoic acid |
13C2-PFDoA |
|
Solution preparation
2% NH4OH in MeOH:
1. Add 2 mL of NH4OH for every 98 mL of methanol to a clean beaker.
2. Agitate to homogenize the solution.
3. Prepare fresh prior to each day of extraction.
0.1 M phosphate buffer solution:
1. Add 4.45 g of monobasic sodium phosphate and 2.5 g of dibasic sodium phosphate for every 500 mL of reagent water to a clean beaker.
2. Sonicate the solution for 5 minutes to dissolve the salt.
1 g/L ammonium acetate (NH4OAc) buffer solution:
1. Add 1 g of NH4OAc for every 1 L of reagent water to a clean beaker.
2. Sonicate the solution for 5 minutes to dissolve the salt.
Working spiking solution
1. Dilute 100 μL of the native stock solution with 900 μL of methanol to achieve a 50 ppt solution.
Summary of SPE method
SPE cartridge format
EVOLUTE® PFAS 500 mg/6 mL or EVOLUTE® PFAS 533 200 mg/6 mL
Sample pre-treatment
If needed, adjust the pH of each sample to be between 6.0 and
8.0 using acetic acid. Add target analytes and isotope dilution standards as needed.
Conditioning
Condition each cartridge with methanol (10 mL) followed by 0.1 M phosphate buffer (10 mL).
Equilibration
Equilibrate each cartridge with phosphate buffer (3 mL) followed immediately by reagent water (3 mL).
Sample loading
Load sample at a flow rate of 5 mL/min.
Wash
Rinse the sample container with acetate buffer solution (10 mL) and load onto the cartridge. Repeat using methanol (1 mL).
Dry
Dry the cartridge for 5 minutes at a flow rate of 25 mL/min.
Elution
Rinse the sample container with 2% NH4OH in methanol (5 mL) and use to elute the analytes from the cartridge at a flow rate of 2 mL/min. Repeat this rinse one additional time.
Post-extraction
Concentrate the extract to dryness and reconstitute using 990 μL of 80:20 methanol: reagent water. Add isotope performance standards and mix prior to analysis.
Sample preparation procedure
- Clean all parts of the Biotage® VacMaster™ system per the procedure given in Appendix A.
- Set up and fill new sample containers with reagent water; 250 mL are typical for this method.
- Add 0.25 g of NH4OAc to each of the sample containers to achieve a concentration of 1 g/L.
- Verify that the pH of the sample is between 6.0 and 8.0 and adjust using acetic acid if necessary.
- Prepare for the determination of the initial sample volume by either marking the level of the sample on the container or by weighing the sample container.
- Add 20 μL of the isotope dilution standard to each of the sample containers. If desired, fortify a sample using target analytes: the addition of 10 μL or 100 μL of the working spiking solution will yield concentrations of 2 ppt or 20 ppt respectively, while the addition of 100 μL of the native
analyte primary dilution standard will yield a concentration of 200 ppt. If the mixes used were different than the ones outlined in this note, adjust the concentration or spiking amounts as needed. - Load the desired EVOLUTE® PFAS 533 cartridges onto the Biotage® VacMaster™. Seal any unused positions using VacMaster Port Sealing Plugs (p/n 121-0005)
- Condition each cartridge with 10 mL of methanol and apply vacuum at 10 mL/min to pull it to waste. Do not allow the sorbent to go dry.
- Condition each cartridge with 10 mL of 0.1 M phosphate buffer solution and apply vacuum at 10 mL/min to pull it to waste. Do not allow the sorbent to go dry.
- Condition each cartridge with 3 mL of 0.1 M phosphate buffer solution followed immediately by 3 mL of reagent water and apply vacuum at 10 mL/min until the cartridge is just
wetted. Do not allow the water level to drop below the top of the packing. - Using the Biotage® VacMaster™ LVE Kit, place one end of the cleaned tubing into the bottom of each of the sample containers, and secure in position using the clips provided.
- Load the samples onto the cartridges using a flow rate of 5 mL/min.
- Once the sample has been fully loaded, rinse the sample containers using 10 mL of acetate buffer solution, swirl to ensure the full rinsing of the container, and load the aliquot onto the cartridge at a rate of 5 mL/min.
- Add 1 mL of methanol to each sample container and load the aliquot onto the cartridge at a rate of 5 mL/min.
- Dry the cartridge for 5 minutes at a rate of 5 mL/min.
- Load 15 mL centrifuge tubes into the rack corresponding to each of the cartridge positions and load into the VacMaster.
- Rinse each sample container using 5 mL of 2% NH4OH in methanol and swirl to ensure the full rinsing of the container. Load the aliquot through the appropriate cartridge and collect at a dropwise rate.
- Rinse each sample container using 5 mL of 2% NH4OH in methanol and swirl to ensure the full rinsing of the
container. Load the aliquot through the appropriate cartridge and collect at a dropwise rate (approximately 2 mL/min). - Determine the initial sample volume by either using a graduated cylinder and filling the sample container to the original mark or by taking an additional weight of the container.
- Transfer the centrifuge tubes to the TurboVap® LV system and concentrate the samples to just under 1 mL using nitrogen according to the parameters in Table 2.
- Reconstitute each sample using 990 μL of 80:20 methanol: reagent water and transfer to an autosampler vial.
- Add 10 μL of the isotope performance standards and mix to homogenize.
- Load the extract onto a calibrated LC-MS/MS system and process using the conditions given in the below sections.
TurboVap® LV concentration protocol
Bath Temp: 60 ˚C
Evaporation Mode: Method (Ramp Gradient)
Manifold Setup: 48 positions
Rack Row Height: 120 mm*
Step 1: 1.5 L/min for 20 min
Step 2: 3.0 L/min for 15 min
Step 3: 3.5 L/min for 45 min
*The nozzle position was adjusted such that it was as far to the right as possible to give the user a clear view of the vortex within the tube.
LC-MS/MS conditions
Agilent 1290 Infinity II LC System
» 1290 Infinity II Multicartridge Thermostat, G7116B
» 1290 Infinity II Multisampler, G7167B
» 1290 Infinity II High Speed Pump, G7120A
» InfinityLab PFC-free HPLC Conversion Kit, 5004-0006
Columns
» InfinityLab PFC Delay Column, 4.6 x 30 mm, p/n 5062-8100
» ZORBAX RRHD Eclipse Plus C18, 95 Å, 22.1 x 50 mm, 1.8 µm, p/n 959757-902
Mobile phases
» A: 20 mM Ammonium Acetate in Water
» B: Methanol
|
Time (min) |
%A |
%B |
|
0.50 |
95.00 |
5.00 |
|
3.00 |
60.00 |
40.00 |
|
16.00 |
20.00 |
80.00 |
|
18.00 |
20.00 |
80.00 |
|
20.00 |
5.00 |
95.00 |
» Flow Rate: 0.2 mL/min
» Injection Volume: 5 μL
» Cartridge Temperature: 50 ˚C
Agilent 6470 MS/MS, G6470B
» Gas Temperature: 230 ˚C
» Gas Flow: 4 L/min
» Nebulizer: 20 psi
» Sheath Gas Temperature: 375 ˚C
» Sheath Gas Flow: 12 L/min
» Capillary Voltage (Positive): 3500 V
» Capillary Voltage (Negative): 3500 V
» Nozzle Voltage (Positive): 500 V
» Nozzle Voltage (Negative): 0 V
For a complete listing of MRM Transitions, see Appendix B
Results
System calibration
For the work being done here, a total of six points were used in the calibration covering a range of 0.2-100 ppt in the sample. The lowest three points were below the calculated MRL. The curve was forced through zero and used a 1/x weighting.
PFBS
PFMPA
Figure 1. Calibration curves for PFBS and PFMPA. Calibration curves for the remaining target analytes in Table 1 are shown in Appendix C.
Determination of the minimum reporting level (MRL) and detection limits (DL)
A target MRL of 2 ng/L was selected and at least seven replicate laboratory fortified blanks (LFBs) were created and run at that concentration. The resulting data were then used to calculate the half-range for the prediction interval (HRPIR), the upper and lower bounds for the PIR, and the DL. Figures 2 and 3 illustrate the results of this test for both the 200 mg and 500 mg cartridges respectively using 250 mL sample volumes.
Figure 2. Upper and Lower calculated PIR limits with the range of acceptance shown in white for EVOLUTE® PFAS 533 200 mg cartridges. Those compounds with an asterisk were used in salt form.
Figure 3. Upper and Lower calculated PIR limits with the range of acceptance shown in white for EVOLUTE® PFAS 533 500 mg cartridges. Those compounds with an asterisk were used in salt form
Based on the data obtained, the calculated upper and lower PIR were all well within the specified boundaries and the calculated MRL concentrations are all deemed acceptable.
The data for individual compounds are contained within Appendix D.
Demonstration of low system background
An investigation into the background of the complete process was done in two steps. The first step was to load centrifuge tubes containing a similar volume of methanol as would result from the extraction process onto the evaporation system, allowing them to concentrate and then run on the analytical system (evaporation blank). The second step was to create a full Laboratory Reagent Blank (LRB), extract and concentrate it, and run it on the analytical system. By separating the process into these steps it becomes easier to determine what, if any, contribution to the overall background each of the steps has. The result of these tests are given in Appendix E and selected data are shown below in Figures 4–6.
Figure 4. Contribution of the TurboVap® LV to the PFAS Background. Those compounds with an asterisk were used in salt form.
Figure 5. PFAS Background for full LRB using EVOLUTE® PFAS 533 200 mg/6 mL cartridges. Those compounds with an asterisk were used in salt form.
Figure 6. PFAS Background for full LRB using EVOLUTE® PFAS 533 500 mg/6 mL cartridges. Those compounds with an asterisk were used in salt form.
When examining the data resulting for both the TurboVap® LV and the full LRB tests (which includes the Biotage® VacMaster™ manifold, PFAS Free Large Volume Loading Kit, and the EVOLUTE® cartridges as well as the TurboVap® LV) there are clear indications of the presence of a PFAS background. However, even at the highest concentrations detected, all levels are more than 8 times lower than the 1/3 MRL limit indicating that the background is acceptable and will not interfere with future sample runs.
Initial demonstration of precision and accuracy (IDP, IDA)
To determine the precision and accuracy of the sample preparation process, four LFB samples were prepared at concentrations of 20 ppt. The data is given in Appendix F and illustrated in Figures 7 and 8.
Figure 7. Initial Demonstration of Accuracy (20 ng/L, n=4). Those compounds with an asterisk were used in salt form.
Figure 8. Initial Demonstration of Precision (20 ng/L, n=4). Those compounds with an asterisk were used in salt form.
The results show that the average recovery for each target analyte was within 30% of the nominal value and that the coefficient of variation (CV) for each analyte fell under 10% on average.
Examination of system carryover
To simulate an influent sample, four LFB samples were created with concentrations which were above the range of the calibration curve. These samples were extracted, and the clean up procedure given in Appendix A was run three times. To ensure that the system background was adequately reduced, a set of four LRB samples were extracted immediately afterwards and analysed. The LRB data is presented in Appendix G and illustrated in Figure 9.
Figure 9. Results of carryover study following four, 200 ng/L LFB samples using EVOLUTE® PFAS 533 500 mg/6 mL cartridges. Those compounds with an asterisk were used in salt form.
The graph shown in Figure 9 shows a clear indication that the cleaning procedure in Appendix A was successful in reducing the background of PFAS compounds to below the 1/3 MRL limit. For further reductions in the background, additional cleaning steps could be employed.
Conclusion
With the scrutiny being given to the presence of PFAS compounds in the environment, it is essential to find reliable products which can meet the requirements of EPA Method 533. This application note has shown that the Biotage® VacMaster™ vacuum manifold with PFAS free accessories, EVOLUTE® PFAS 533 SPE cartridges and the TurboVap® LV can be used to easily meet and exceed the demands of the method.
Ordering information
|
Part Number |
Description |
Qty |
|---|---|---|
|
121-2016 |
Biotage® VacMaster™-20 Sample Processing Station (with 16 mm rack) |
1 |
|
121-2190 |
Biotage® VacMaster™ LVE Kit (PFAS) for 1, 3, 6 mL SPE Cartridges |
1 |
|
121-2195 |
Biotage® VacMaster™ Trap Kit, 10 L |
1 |
|
121-0009-PP |
Polypropylene (PFAS) Stopcocks |
10 |
|
604-0050-C-533 |
EVOLUTE® PFAS 533 500 mg/6 mL cartridges |
30 |
|
604-0020-C-533 |
EVOLUTE® PFAS 533 200 mg/6 mL cartridges |
30 |
|
415000 |
TurboVap® LV Automated Solvent Evaporation System |
1 |
|
414964 |
TurboVap® LV Multi Rack (48 Positions, 10–20 mm Tubes) |
1 |
Appendix A
Biotage® VacMaster™ cleaning procedure
For the best results, it is recommended that this procedure be completed before the use of the VacMaster™ each day and at the end of each extraction prior to proceeding with the next set of samples.
- Ensure that a cartridge and cartridge adapter is installed onto each VacMaster™ position slated to be cleaned.
- Fill a clean beaker with 50 mL of methanol and place no more than four of the LVE Kit lines into the beaker.
- Apply vacuum to the manifold and pull the methanol through the positions into the waste container.
- Remove the cartridge and discard.
- Using methanol in a squeeze bottle, clean the exterior of the LVE Kit’s lines, the cartridge adapters, the stopcock, and the metal cannula. Discard all rinsate.
- Repeat this up to three times for all positions which require cleaning.
Note: In situations where the previous sample was highly concentrated, the above cleaning procedure may need to be repeated multiple times. If there is concern regarding potential carryover contamination regardless of the cleaning procedure, a laboratory reagent blank should be run in that position to ensure its cleanliness.
Appendix B
MRM transitions
|
Cpd Name |
ISTD? |
Prec Ion |
MS1 Res |
Prod Ion |
MS2 Res |
Frag (V) |
CE (V) |
Cell Acc (V) |
Ret Time (min) |
Ret Window |
Polarity |
|
11Cl-PF3OUdS |
No |
630.9 |
Unit/Enh (6490) |
450.9 |
Unit/Enh (6490) |
165 |
32 |
5 |
17.6 |
1.76 |
Negative |
|
11Cl-PF3OUdS |
No |
630.9 |
Unit/Enh (6490) |
82.9 |
Unit/Enh (6490) |
165 |
32 |
5 |
17.6 |
1.76 |
Negative |
|
4:2FTS |
No |
327 |
Unit/Enh (6490) |
306.9 |
Unit/Enh (6490) |
125 |
20 |
5 |
9.2 |
1.55 |
Negative |
|
4:2FTS |
No |
327 |
Unit/Enh (6490) |
80.9 |
Unit/Enh (6490) |
125 |
36 |
5 |
9.2 |
1.55 |
Negative |
|
6:2FTS |
No |
427 |
Unit/Enh (6490) |
406.8 |
Unit/Enh (6490) |
125 |
24 |
5 |
13.09 |
1.31 |
Negative |
|
6:2FTS |
No |
427 |
Unit/Enh (6490) |
80.9 |
Unit/Enh (6490) |
125 |
40 |
5 |
13.09 |
1.31 |
Negative |
|
8:2FTS |
No |
527 |
Unit/Enh (6490) |
506.8 |
Unit/Enh (6490) |
170 |
28 |
5 |
16.14 |
1.61 |
Negative |
|
8:2FTS |
No |
527 |
Unit/Enh (6490) |
80.9 |
Unit/Enh (6490) |
170 |
40 |
5 |
16.14 |
1.61 |
Negative |
|
9Cl-PF3ONS |
No |
530.9 |
Unit/Enh (6490) |
350.9 |
Unit/Enh (6490) |
145 |
28 |
5 |
15.49 |
1.55 |
Negative |
|
9Cl-PF3ONS |
No |
530.9 |
Unit/Enh (6490) |
83 |
Unit/Enh (6490) |
145 |
32 |
5 |
15.49 |
1.55 |
Negative |
|
ADONA |
No |
377 |
Unit/Enh (6490) |
250.9 |
Unit/Enh (6490) |
80 |
12 |
5 |
11.74 |
1.39 |
Negative |
|
ADONA |
No |
377 |
Unit/Enh (6490) |
85 |
Unit/Enh (6490) |
80 |
36 |
5 |
11.74 |
1.39 |
Negative |
|
C2-4:2FTS |
No |
329 |
Unit/Enh (6490) |
309 |
Unit/Enh (6490) |
125 |
20 |
5 |
9.2 |
1.55 |
Negative |
|
C2-6:2FTS |
No |
429 |
Unit/Enh (6490) |
409 |
Unit/Enh (6490) |
125 |
24 |
5 |
13.28 |
1.47 |
Negative |
|
C2-8:2FTS |
No |
529 |
Unit/Enh (6490) |
509 |
Unit/Enh (6490) |
170 |
28 |
5 |
15.93 |
1.59 |
Negative |
|
C2-PFDoA |
No |
614.9 |
Unit/Enh (6490) |
570 |
Unit/Enh (6490) |
79 |
5 |
5 |
18.02 |
1.8 |
Negative |
|
C2-PFOA |
No |
415 |
Unit/Enh (6490) |
369.9 |
Unit/Enh (6490) |
80 |
8 |
5 |
13.19 |
1.55 |
Negative |
|
C2-PFOA |
No |
415 |
Unit/Enh (6490) |
168.9 |
Unit/Enh (6490) |
80 |
20 |
5 |
13.19 |
1.55 |
Negative |
|
C3-HFPO-DA |
No |
287 |
Unit/Enh (6490) |
184.9 |
Unit/Enh (6490) |
160 |
20 |
5 |
10.06 |
1.07 |
Negative |
|
C3-HFPO-DA |
No |
287 |
Unit/Enh (6490) |
168.9 |
Unit/Enh (6490) |
160 |
4 |
5 |
10.06 |
1.07 |
Negative |
|
C3-PFBA |
No |
216 |
Unit/Enh (6490) |
171.9 |
Unit/Enh (6490) |
65 |
8 |
5 |
5.05 |
2.05 |
Negative |
|
C3-PFBS |
No |
302 |
Unit/Enh (6490) |
80 |
Unit/Enh (6490) |
100 |
45 |
5 |
7.68 |
1.56 |
Negative |
|
C3-PFHxS |
No |
402 |
Unit/Enh (6490) |
80 |
Unit/Enh (6490) |
100 |
45 |
5 |
11.6 |
1.54 |
Negative |
|
C4-PFBA |
No |
217 |
Unit/Enh (6490) |
172 |
Unit/Enh (6490) |
60 |
8 |
5 |
5.05 |
2.2 |
Negative |
|
C4-PFHpA |
No |
367 |
Unit/Enh (6490) |
322 |
Unit/Enh (6490) |
72 |
0 |
5 |
11.43 |
1.6 |
Negative |
|
C4-PFOS |
No |
502.9 |
Unit/Enh (6490) |
98.9 |
Unit/Enh (6490) |
180 |
48 |
5 |
14.71 |
1.53 |
Negative |
|
C4-PFOS |
No |
502.9 |
Unit/Enh (6490) |
79.9 |
Unit/Enh (6490) |
180 |
52 |
5 |
14.71 |
1.53 |
Negative |
|
C5-PFHxA |
No |
318 |
Unit/Enh (6490) |
273 |
Unit/Enh (6490) |
70 |
8 |
5 |
9.39 |
1.59 |
Negative |
|
C5-PFPeA |
No |
268 |
Unit/Enh (6490) |
223 |
Unit/Enh (6490) |
60 |
8 |
5 |
7.21 |
1.58 |
Negative |
|
C6-PFDA |
No |
519 |
Unit/Enh (6490) |
474 |
Unit/Enh (6490) |
81 |
4 |
5 |
15.97 |
1.6 |
Negative |
|
C7-PFUnA |
No |
570 |
Unit/Enh (6490) |
525 |
Unit/Enh (6490) |
73 |
5 |
5 |
17.07 |
1.71 |
Negative |
|
Cpd Name |
ISTD? |
Prec Ion |
MS1 Res |
Prod Ion |
MS2 Res |
Frag (V) |
CE (V) |
Cell Acc (V) |
Ret Time (min) |
Ret Window |
Polarity |
|
C8-PFOA |
No |
421 |
Unit/Enh (6490) |
376 |
Unit/Enh (6490) |
69 |
4 |
5 |
13.19 |
1.55 |
Negative |
|
C8-PFOS |
No |
507 |
Unit/Enh (6490) |
80 |
Unit/Enh (6490) |
100 |
50 |
5 |
14.71 |
1.52 |
Negative |
|
C9-PFNA |
No |
472 |
Unit/Enh (6490) |
427 |
Unit/Enh (6490) |
66 |
4 |
5 |
14.68 |
1.53 |
Negative |
|
HFPO-DA-CO2 |
No |
285 |
Unit/Enh (6490) |
184.9 |
Unit/Enh (6490) |
155 |
16 |
5 |
10.06 |
1.01 |
Negative |
|
HFPO-DA-CO2 |
No |
285 |
Unit/Enh (6490) |
168.9 |
Unit/Enh (6490) |
155 |
4 |
5 |
10.06 |
1.01 |
Negative |
|
NFDHA |
No |
295 |
Unit/Enh (6490) |
201 |
Unit/Enh (6490) |
75 |
5 |
5 |
9.06 |
1.02 |
Negative |
|
NFDHA-CO2 |
No |
251 |
Unit/Enh (6490) |
84.9 |
Unit/Enh (6490) |
130 |
20 |
5 |
11.74 |
1.42 |
Negative |
|
PFBA |
No |
213 |
Unit/Enh (6490) |
168.9 |
Unit/Enh (6490) |
60 |
8 |
5 |
5.05 |
2.05 |
Negative |
|
PFBS |
No |
298.9 |
Unit/Enh (6490) |
98.9 |
Unit/Enh (6490) |
100 |
29 |
5 |
7.68 |
1.43 |
Negative |
|
PFBS |
No |
298.9 |
Unit/Enh (6490) |
80 |
Unit/Enh (6490) |
100 |
45 |
5 |
7.68 |
1.43 |
Negative |
|
PFDA |
No |
513 |
Unit/Enh (6490) |
469 |
Unit/Enh (6490) |
81 |
4 |
5 |
15.97 |
1.6 |
Negative |
|
PFDA |
No |
513 |
Unit/Enh (6490) |
218.7 |
Unit/Enh (6490) |
100 |
16 |
5 |
15.97 |
1.6 |
Negative |
|
PFDoA |
No |
613 |
Unit/Enh (6490) |
569 |
Unit/Enh (6490) |
79 |
5 |
5 |
18.02 |
1.8 |
Negative |
|
PFDoA |
No |
613 |
Unit/Enh (6490) |
268.7 |
Unit/Enh (6490) |
100 |
20 |
5 |
18.02 |
1.8 |
Negative |
|
PFEESA |
No |
314.9 |
Unit/Enh (6490) |
134.9 |
Unit/Enh (6490) |
110 |
24 |
5 |
8.57 |
1.55 |
Negative |
|
PFEESA |
No |
314.9 |
Unit/Enh (6490) |
69 |
Unit/Enh (6490) |
110 |
60 |
5 |
8.57 |
1.55 |
Negative |
|
PFHpA |
No |
362.9 |
Unit/Enh (6490) |
319 |
Unit/Enh (6490) |
72 |
0 |
5 |
11.43 |
1.57 |
Negative |
|
PFHpA |
No |
362.9 |
Unit/Enh (6490) |
169 |
Unit/Enh (6490) |
72 |
12 |
5 |
11.43 |
1.57 |
Negative |
|
PFHpS |
No |
448.9 |
Unit/Enh (6490) |
98.7 |
Unit/Enh (6490) |
100 |
44 |
5 |
13.48 |
1.35 |
Negative |
|
PFHpS |
No |
448.9 |
Unit/Enh (6490) |
79.7 |
Unit/Enh (6490) |
100 |
52 |
5 |
13.48 |
1.35 |
Negative |
|
PFHxA |
No |
313 |
Unit/Enh (6490) |
268.9 |
Unit/Enh (6490) |
70 |
8 |
5 |
9.39 |
1.54 |
Negative |
|
PFHxA |
No |
313 |
Unit/Enh (6490) |
119 |
Unit/Enh (6490) |
70 |
18 |
5 |
9.39 |
1.54 |
Negative |
|
PFHxS |
No |
398.9 |
Unit/Enh (6490) |
99 |
Unit/Enh (6490) |
100 |
45 |
5 |
11.5 |
2.1 |
Negative |
|
PFHxS |
No |
398.9 |
Unit/Enh (6490) |
80 |
Unit/Enh (6490) |
100 |
49 |
5 |
11.5 |
2.1 |
Negative |
|
PFMBA |
No |
279 |
Unit/Enh (6490) |
84.9 |
Unit/Enh (6490) |
70 |
12 |
5 |
7.9 |
1.58 |
Negative |
|
PFMPA |
No |
229 |
Unit/Enh (6490) |
84.9 |
Unit/Enh (6490) |
60 |
12 |
5 |
5.95 |
1.58 |
Negative |
|
PFNA |
No |
463 |
Unit/Enh (6490) |
419 |
Unit/Enh (6490) |
66 |
4 |
5 |
14.69 |
1.47 |
Negative |
|
PFNA |
No |
463 |
Unit/Enh (6490) |
219 |
Unit/Enh (6490) |
66 |
17 |
5 |
14.69 |
1.47 |
Negative |
|
PFOA |
No |
413 |
Unit/Enh (6490) |
369 |
Unit/Enh (6490) |
69 |
4 |
5 |
13.19 |
1.55 |
Negative |
|
PFOA |
No |
413 |
Unit/Enh (6490) |
169 |
Unit/Enh (6490) |
69 |
12 |
5 |
13.19 |
1.55 |
Negative |
|
PFOS |
No |
498.9 |
Unit/Enh (6490) |
99 |
Unit/Enh (6490) |
100 |
50 |
5 |
14.6 |
2 |
Negative |
|
PFOS |
No |
498.9 |
Unit/Enh (6490) |
80 |
Unit/Enh (6490) |
100 |
50 |
5 |
14.6 |
2 |
Negative |
|
PFPeA |
No |
263 |
Unit/Enh (6490) |
218.9 |
Unit/Enh (6490) |
60 |
8 |
5 |
7.21 |
1.57 |
Negative |
|
PFPeS |
No |
348.9 |
Unit/Enh (6490) |
98.9 |
Unit/Enh (6490) |
135 |
40 |
5 |
9.7 |
1.54 |
Negative |
|
PFPeS |
No |
348.9 |
Unit/Enh (6490) |
79.9 |
Unit/Enh (6490) |
135 |
40 |
5 |
9.7 |
1.54 |
Negative |
|
PFUnA |
No |
563 |
Unit/Enh (6490) |
519 |
Unit/Enh (6490) |
73 |
5 |
5 |
17.07 |
1.71 |
Negative |
|
PFUnA |
No |
563 |
Unit/Enh (6490) |
269 |
Unit/Enh (6490) |
100 |
20 |
5 |
17.07 |
1.71 |
Negative |
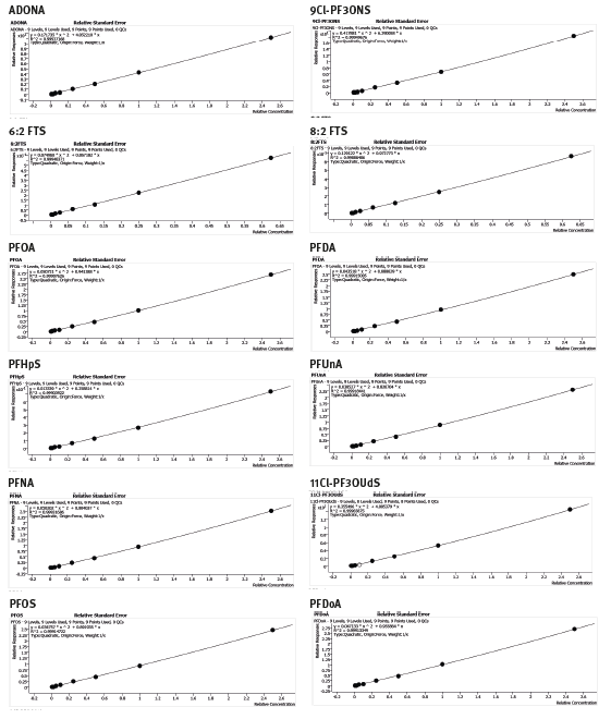
Appendix C
Calibration curves



Figure 10. Calibration curves for the target analytes in Table 1, covering a concentration range of 0.2-100 ppt.
Appendix D
MRL and DL data
|
|
Conc. |
1 |
2 |
3 |
4 |
5 |
6 |
7 |
Average Std Dev |
HRPIR |
Lower |
Upper |
DL |
|
|
(ng/L) |
(ng/L) |
(ng/L) |
(ng/L) |
(ng/L) |
(ng/L) |
(ng/L) |
(ng/L) |
(ng/L) (ng/L) (ng/L) |
PIR |
PIR |
(ng/L) |
|||
|
|
|
|
|
|
|
|
|
|
|
|
% |
% |
|
|
|
PFBA |
2.00 |
2.27 |
2.30 |
2.27 |
2.16 |
2.17 |
2.19 |
2.24 |
2.23 |
0.05 |
0.22 |
100.5 |
122.3 |
0.17 |
|
PFMPA |
2.00 |
2.14 |
2.26 |
2.13 |
2.06 |
2.04 |
2.11 |
2.12 |
2.12 |
0.07 |
0.28 |
92.1 |
120.2 |
0.22 |
|
PFPeA |
2.00 |
2.16 |
2.16 |
2.10 |
2.03 |
1.98 |
2.04 |
2.16 |
2.09 |
0.08 |
0.30 |
89.6 |
119.4 |
0.24 |
|
PFBS* |
1.77 |
1.94 |
1.96 |
1.84 |
1.81 |
1.78 |
1.80 |
1.91 |
1.87 |
0.07 |
0.28 |
79.2 |
107.4 |
0.22 |
|
PFMBA |
2.00 |
2.28 |
2.23 |
2.30 |
2.19 |
2.08 |
2.31 |
2.27 |
2.24 |
0.08 |
0.32 |
96.0 |
127.8 |
0.25 |
|
PFEESA* |
1.78 |
1.90 |
1.93 |
1.92 |
1.83 |
1.78 |
1.85 |
1.92 |
1.88 |
0.06 |
0.23 |
82.2 |
105.3 |
0.18 |
|
NFDHA |
2.00 |
2.06 |
2.12 |
2.26 |
1.96 |
1.98 |
1.95 |
1.92 |
2.03 |
0.12 |
0.48 |
77.8 |
125.7 |
0.38 |
|
4:2 FTS* |
1.88 |
2.09 |
2.03 |
2.05 |
1.99 |
1.95 |
2.00 |
1.88 |
2.00 |
0.07 |
0.27 |
86.6 |
113.3 |
0.21 |
|
PFHxA |
2.00 |
2.21 |
2.21 |
2.24 |
2.06 |
2.23 |
2.20 |
2.20 |
2.19 |
0.06 |
0.24 |
97.7 |
121.5 |
0.19 |
|
PFPeS* |
1.88 |
2.04 |
2.03 |
2.06 |
1.90 |
1.82 |
1.89 |
2.04 |
1.97 |
0.10 |
0.38 |
79.3 |
117.4 |
0.30 |
|
HFPO-DA |
2.00 |
2.23 |
2.25 |
2.19 |
2.13 |
1.94 |
2.08 |
2.15 |
2.14 |
0.11 |
0.42 |
85.9 |
128.0 |
0.33 |
|
PFHpA |
2.00 |
2.04 |
2.05 |
2.02 |
2.03 |
1.99 |
2.03 |
2.13 |
2.04 |
0.04 |
0.17 |
93.3 |
110.7 |
0.14 |
|
PFHxS* |
1.83 |
1.92 |
2.00 |
1.99 |
1.89 |
1.85 |
1.82 |
1.94 |
1.91 |
0.07 |
0.27 |
82.2 |
109.2 |
0.21 |
|
ADONA* |
1.89 |
1.71 |
1.68 |
1.70 |
1.71 |
1.63 |
1.71 |
1.79 |
1.70 |
0.05 |
0.19 |
75.8 |
94.7 |
0.15 |
|
6:2 FTS* |
1.90 |
1.91 |
2.11 |
2.08 |
1.99 |
1.97 |
1.98 |
2.07 |
2.02 |
0.07 |
0.28 |
86.7 |
114.8 |
0.22 |
|
PFOA |
2.00 |
2.08 |
2.16 |
2.11 |
2.00 |
2.03 |
2.06 |
2.04 |
2.07 |
0.05 |
0.21 |
93.1 |
113.7 |
0.16 |
|
PFHpS* |
1.91 |
1.89 |
2.07 |
2.04 |
1.97 |
2.03 |
1.88 |
2.16 |
2.01 |
0.10 |
0.40 |
80.5 |
120.1 |
0.31 |
|
PFNA |
2.00 |
2.15 |
2.22 |
2.10 |
1.96 |
2.04 |
2.00 |
2.08 |
2.08 |
0.09 |
0.34 |
86.8 |
121.0 |
0.27 |
|
PFOS* |
1.86 |
1.99 |
2.00 |
2.02 |
1.92 |
1.88 |
1.88 |
2.04 |
1.96 |
0.07 |
0.27 |
84.4 |
111.8 |
0.22 |
|
9Cl-PF3ONS* |
1.87 |
1.85 |
1.88 |
1.77 |
1.73 |
1.73 |
1.78 |
1.83 |
1.80 |
0.06 |
0.23 |
78.2 |
101.5 |
0.18 |
|
8:2 FTS* |
1.92 |
2.07 |
2.07 |
1.91 |
1.93 |
1.83 |
2.05 |
2.05 |
1.99 |
0.10 |
0.38 |
80.4 |
118.2 |
0.30 |
|
PFDA |
2.00 |
2.04 |
2.15 |
2.06 |
1.96 |
1.97 |
2.03 |
2.04 |
2.04 |
0.06 |
0.26 |
88.9 |
114.7 |
0.20 |
|
PFUnA |
2.00 |
2.07 |
2.05 |
2.11 |
1.99 |
1.98 |
1.98 |
2.08 |
2.04 |
0.05 |
0.21 |
91.2 |
112.6 |
0.17 |
|
11Cl-PF3OUdS* |
1.89 |
1.80 |
1.85 |
1.86 |
1.70 |
1.73 |
1.81 |
1.84 |
1.80 |
0.06 |
0.24 |
78.0 |
101.9 |
0.19 |
|
PFDoA |
2.00 |
2.13 |
2.08 |
2.19 |
1.99 |
2.03 |
2.08 |
2.17 |
2.10 |
0.07 |
0.29 |
90.5 |
119.1 |
0.23 |
*Analytes were used in salt form and calculated concentrations were corrected to compensate where needed.
|
|
Conc. |
1 |
2 |
3 |
4 |
5 |
6 |
7 |
8 |
Average |
Std |
HRPIR |
Lower |
Upper |
DL |
|
(ng/L) (ng/L) (ng/L) (ng/L) (ng/L) (ng/L) (ng/L) (ng/L) (ng/L) (ng/L) |
Dev |
(ng/L) |
PIR |
PIR |
(ng/L) |
||||||||||
|
|
|
|
|
|
|
|
|
|
|
(ng/L) |
|
% |
% |
|
|
|
PFBA |
2.00 |
2.08 |
2.11 |
2.07 |
2.27 |
2.06 |
2.09 |
2.13 |
2.09 |
2.11 |
0.07 |
0.26 |
92.8 |
118.6 |
0.21 |
|
PFMPA |
2.00 |
2.07 |
2.10 |
2.06 |
2.27 |
2.15 |
2.23 |
2.14 |
2.14 |
2.14 |
0.08 |
0.28 |
93.3 |
121.2 |
0.23 |
|
PFPeA |
2.00 |
2.02 |
2.02 |
2.00 |
2.08 |
2.01 |
2.13 |
2.03 |
2.01 |
2.04 |
0.04 |
0.16 |
93.7 |
110.0 |
0.13 |
|
PFBS* |
1.77 |
1.83 |
1.78 |
1.83 |
1.85 |
1.87 |
1.87 |
1.81 |
1.80 |
1.83 |
0.03 |
0.12 |
85.6 |
97.6 |
0.10 |
|
PFMBA |
2.00 |
2.17 |
2.03 |
2.16 |
2.11 |
2.14 |
2.16 |
2.14 |
2.08 |
2.12 |
0.05 |
0.18 |
97.1 |
115.1 |
0.14 |
|
PFEESA* |
1.78 |
1.82 |
1.76 |
1.81 |
1.84 |
1.80 |
1.91 |
1.79 |
1.75 |
1.81 |
0.05 |
0.19 |
80.7 |
100.1 |
0.16 |
|
NFDHA |
2.00 |
2.11 |
1.92 |
1.97 |
2.06 |
2.19 |
2.00 |
2.08 |
(1) |
2.05 |
0.09 |
0.36 |
84.2 |
120.4 |
0.29 |
|
4:2 FTS* |
1.88 |
1.92 |
1.85 |
1.80 |
1.96 |
1.93 |
2.06 |
1.88 |
1.89 |
1.91 |
0.08 |
0.29 |
81.1 |
110.0 |
0.23 |
|
PFHxA |
2.00 |
2.09 |
1.95 |
2.04 |
2.01 |
2.04 |
2.11 |
2.04 |
1.99 |
2.03 |
0.05 |
0.19 |
92.0 |
111.4 |
0.16 |
|
PFPeS* |
1.88 |
1.83 |
1.82 |
1.98 |
1.92 |
1.86 |
1.95 |
1.80 |
1.88 |
1.88 |
0.06 |
0.24 |
82.2 |
105.8 |
0.19 |
|
HFPO-DA |
2.00 |
1.98 |
1.99 |
1.92 |
2.01 |
2.00 |
(1) |
2.31 |
2.15 |
2.05 |
0.13 |
0.52 |
76.4 |
128.7 |
0.41 |
|
PFHpA |
2.00 |
1.94 |
1.91 |
1.94 |
2.00 |
1.93 |
2.10 |
2.06 |
2.05 |
1.99 |
0.07 |
0.27 |
86.1 |
113.0 |
0.22 |
|
PFHxS* |
1.83 |
1.88 |
1.88 |
1.90 |
1.84 |
1.85 |
1.90 |
1.76 |
1.90 |
1.86 |
0.05 |
0.18 |
84.2 |
102.1 |
0.14 |
|
ADONA* |
1.89 |
1.73 |
1.73 |
1.73 |
1.82 |
1.70 |
1.87 |
1.83 |
1.76 |
1.77 |
0.06 |
0.22 |
77.4 |
99.7 |
0.18 |
|
6:2 FTS* |
1.90 |
2.01 |
1.99 |
1.95 |
1.97 |
1.98 |
2.05 |
1.90 |
1.87 |
1.96 |
0.06 |
0.22 |
87.1 |
109.2 |
0.18 |
|
PFOA |
2.00 |
1.97 |
1.96 |
2.01 |
2.03 |
2.00 |
2.08 |
2.00 |
2.06 |
2.01 |
0.04 |
0.15 |
93.2 |
108.1 |
0.12 |
|
PFHpS* |
1.91 |
1.76 |
1.81 |
1.89 |
1.83 |
1.99 |
1.92 |
1.95 |
1.82 |
1.87 |
0.08 |
0.30 |
78.8 |
108.4 |
0.24 |
|
PFNA |
2.00 |
1.97 |
1.97 |
2.11 |
2.10 |
2.05 |
2.11 |
2.07 |
1.98 |
2.04 |
0.06 |
0.23 |
90.5 |
113.9 |
0.19 |
|
PFOS* |
1.86 |
1.86 |
1.81 |
1.82 |
1.95 |
1.86 |
1.89 |
1.94 |
1.95 |
1.89 |
0.06 |
0.22 |
83.5 |
105.1 |
0.17 |
|
9Cl-PF3ONS* |
1.87 |
1.81 |
1.76 |
1.90 |
1.86 |
1.78 |
1.91 |
1.91 |
1.80 |
1.84 |
0.06 |
0.22 |
80.8 |
103.3 |
0.18 |
|
8:2 FTS* |
1.92 |
1.95 |
1.81 |
1.91 |
1.91 |
1.83 |
2.04 |
1.99 |
1.88 |
1.91 |
0.08 |
0.28 |
81.5 |
109.9 |
0.23 |
|
PFDA |
2.00 |
2.11 |
1.98 |
2.05 |
2.02 |
2.00 |
2.10 |
2.09 |
2.04 |
2.05 |
0.05 |
0.18 |
93.8 |
111.3 |
0.14 |
|
PFUnA |
2.00 |
2.01 |
1.94 |
2.02 |
2.08 |
2.00 |
2.08 |
2.10 |
2.07 |
2.04 |
0.05 |
0.20 |
91.8 |
111.9 |
0.16 |
|
11Cl-PF3OUdS* |
1.89 |
1.84 |
1.74 |
1.88 |
1.75 |
1.74 |
1.91 |
1.83 |
1.83 |
1.82 |
0.06 |
0.24 |
78.9 |
102.7 |
0.19 |
|
PFDoA |
2.00 |
2.04 |
2.07 |
2.06 |
2.06 |
2.07 |
2.16 |
2.05 |
2.10 |
2.08 |
0.04 |
0.15 |
96.5 |
111.1 |
0.12 |
*Analytes were used in salt form and calculated concentrations were corrected to compensate where needed.
Appendix E
PFAS Background Study
|
TurboVap® LV |
||||||||
|
Replicate |
1 |
2 |
3 |
4 |
5 |
6 |
7 |
8 |
|
PFBA |
0.07 |
0.00 |
0.00 |
0.03 |
0.03 |
0.00 |
0.03 |
0.04 |
|
PFMPA |
0.01 |
0.01 |
0.01 |
0.01 |
0.01 |
0.01 |
0.01 |
0.01 |
|
PFPeA |
0.06 |
0.04 |
0.04 |
0.05 |
0.05 |
0.06 |
0.06 |
0.05 |
|
PFBS* |
0.00 |
0.02 |
0.01 |
0.01 |
0.02 |
0.01 |
0.01 |
0.02 |
|
PFMBA |
0.01 |
0.01 |
0.01 |
0.00 |
0.01 |
0.02 |
0.01 |
0.01 |
|
PFEESA* |
0.00 |
0.00 |
0.00 |
0.01 |
0.00 |
0.01 |
0.01 |
0.01 |
|
NFDHA |
0.00 |
0.01 |
0.00 |
0.01 |
0.00 |
0.00 |
0.00 |
0.00 |
|
4:2 FTS* |
0.04 |
0.06 |
0.04 |
0.04 |
0.03 |
0.05 |
0.04 |
0.04 |
|
PFHxA |
0.03 |
0.04 |
0.03 |
0.04 |
0.04 |
0.04 |
0.04 |
0.03 |
|
PFPeS* |
0.00 |
0.01 |
0.01 |
0.00 |
0.00 |
0.01 |
0.01 |
0.01 |
|
HFPO-DA |
0.00 |
0.00 |
0.00 |
0.00 |
0.00 |
0.00 |
0.00 |
0.00 |
|
PFHpA |
0.02 |
0.02 |
0.04 |
0.03 |
0.04 |
0.04 |
0.03 |
0.03 |
|
PFHxS* |
0.01 |
0.02 |
0.02 |
0.02 |
0.02 |
0.02 |
0.01 |
0.02 |
|
ADONA* |
0.00 |
0.00 |
0.00 |
0.01 |
0.01 |
0.01 |
0.01 |
0.01 |
|
6:2 FTS* |
0.02 |
0.01 |
0.03 |
0.03 |
0.03 |
0.03 |
0.01 |
0.04 |
|
PFOA |
0.07 |
0.05 |
0.04 |
0.05 |
0.00 |
0.08 |
0.05 |
0.05 |
|
PFHpS* |
0.00 |
0.00 |
0.00 |
0.00 |
0.01 |
0.00 |
0.00 |
0.00 |
|
PFNA |
0.02 |
0.02 |
0.03 |
0.03 |
0.02 |
0.02 |
0.03 |
0.02 |
|
PFOS* |
0.04 |
0.06 |
0.03 |
0.04 |
0.04 |
0.05 |
0.06 |
0.05 |
|
9Cl-PF3ONS* |
0.00 |
0.00 |
0.00 |
0.01 |
0.01 |
0.01 |
0.01 |
0.01 |
|
8:2 FTS* |
0.00 |
0.02 |
0.03 |
0.01 |
0.02 |
0.04 |
0.05 |
0.03 |
|
PFDA |
0.02 |
0.05 |
0.02 |
0.04 |
0.04 |
0.03 |
0.03 |
0.03 |
|
PFUnA |
0.01 |
0.01 |
0.01 |
0.02 |
0.02 |
0.03 |
0.02 |
0.02 |
|
11Cl-PF3OUdS* |
0.00 |
0.00 |
0.00 |
0.01 |
0.01 |
0.02 |
0.02 |
0.01 |
|
PFDoA |
0.03 |
0.03 |
0.02 |
0.03 |
0.04 |
0.05 |
0.05 |
0.06 |
*Analytes were used in salt form and calculated concentrations were corrected to compensate where needed.
|
|
200 mg/6 mL |
500 mg/6 mL |
||||||
|
Replicate |
1 |
2 |
3 |
4 |
1 |
2 |
3 |
4 |
|
PFBA |
0.04 |
0.06 |
0.06 |
0.06 |
0.10 |
0.08 |
0.08 |
0.08 |
|
PFMPA |
0.01 |
0.01 |
0.01 |
0.01 |
0.01 |
0.01 |
0.00 |
0.01 |
|
PFPeA |
0.05 |
0.05 |
0.05 |
0.05 |
0.05 |
0.05 |
0.06 |
0.05 |
|
PFBS* |
0.02 |
0.02 |
0.02 |
0.03 |
0.04 |
0.02 |
0.02 |
0.02 |
|
PFMBA |
0.01 |
0.01 |
0.01 |
0.00 |
0.01 |
0.01 |
0.00 |
0.01 |
|
PFEESA* |
0.01 |
0.00 |
0.00 |
0.00 |
0.00 |
0.00 |
0.00 |
0.00 |
|
NFDHA |
0.00 |
0.00 |
0.00 |
0.00 |
0.00 |
0.02 |
0.01 |
0.00 |
|
4:2 FTS* |
0.04 |
0.06 |
0.04 |
0.04 |
0.04 |
0.07 |
0.04 |
0.05 |
|
PFHxA |
0.05 |
0.04 |
0.04 |
0.03 |
0.05 |
0.04 |
0.05 |
0.05 |
|
PFPeS* |
0.00 |
0.00 |
0.00 |
0.00 |
0.00 |
0.00 |
0.00 |
0.00 |
|
HFPO-DA |
0.00 |
0.00 |
0.00 |
0.00 |
0.00 |
0.00 |
0.00 |
0.00 |
|
PFHpA |
0.04 |
0.03 |
0.03 |
0.04 |
0.04 |
0.03 |
0.02 |
0.04 |
|
PFHxS* |
0.02 |
0.02 |
0.02 |
0.02 |
0.02 |
0.01 |
0.02 |
0.02 |
|
ADONA* |
0.00 |
0.01 |
0.01 |
0.01 |
0.01 |
0.00 |
0.00 |
0.00 |
|
6:2 FTS* |
0.06 |
0.10 |
0.07 |
0.08 |
0.06 |
0.06 |
0.04 |
0.06 |
|
PFOA |
0.04 |
0.07 |
0.06 |
0.05 |
0.06 |
0.05 |
0.05 |
0.05 |
|
PFHpS* |
0.00 |
0.00 |
0.00 |
0.00 |
0.00 |
0.00 |
0.00 |
0.00 |
|
PFNA |
0.02 |
0.02 |
0.03 |
0.02 |
0.02 |
0.02 |
0.02 |
0.03 |
|
PFOS* |
0.02 |
0.04 |
0.05 |
0.03 |
0.05 |
0.04 |
0.03 |
0.05 |
|
9Cl-PF3ONS* |
0.00 |
0.00 |
0.00 |
0.00 |
0.01 |
0.01 |
0.00 |
0.01 |
|
8:2 FTS* |
0.00 |
0.02 |
0.03 |
0.03 |
0.03 |
0.01 |
0.02 |
0.02 |
|
PFDA |
0.02 |
0.03 |
0.03 |
0.02 |
0.03 |
0.03 |
0.04 |
0.03 |
|
PFUnA |
0.01 |
0.02 |
0.02 |
0.02 |
0.02 |
0.02 |
0.02 |
0.02 |
|
11Cl-PF3OUdS* |
0.01 |
0.01 |
0.00 |
0.01 |
0.00 |
0.00 |
0.00 |
0.00 |
|
PFDoA |
0.04 |
0.04 |
0.04 |
0.05 |
0.04 |
0.03 |
0.02 |
0.03 |
*Analytes were used in salt form and calculated concentrations were corrected to compensate where needed.
Appendix F
IDP and IDA Data
|
Replicate |
1 |
2 |
3 |
4 |
Average |
Std Dev |
RSD |
|
|
(%) |
(%) |
(%) |
(%) |
(%) |
(%) |
(%) |
|
PFBA |
105.4 |
103.9 |
103.4 |
104.4 |
104.3 |
0.8 |
0.8 |
|
PFMPA |
105.4 |
102.3 |
102.9 |
103.4 |
103.5 |
1.4 |
1.3 |
|
PFPeA |
105.8 |
103.4 |
102.7 |
104.5 |
104.1 |
1.3 |
1.3 |
|
PFBS* |
107.7 |
103.6 |
105.0 |
102.7 |
104.8 |
2.2 |
2.1 |
|
PFMBA |
113.7 |
110.0 |
110.0 |
110.8 |
111.1 |
1.8 |
1.6 |
|
PFEESA* |
103.8 |
101.1 |
100.2 |
98.8 |
101.0 |
2.1 |
2.1 |
|
NFDHA |
108.1 |
99.9 |
111.0 |
108.3 |
106.8 |
4.8 |
4.5 |
|
4:2 FTS* |
106.4 |
104.7 |
107.1 |
106.1 |
106.1 |
1.0 |
0.9 |
|
PFHxA |
106.3 |
104.6 |
105.4 |
106.2 |
105.7 |
0.8 |
0.7 |
|
PFPeS* |
104.0 |
102.4 |
100.8 |
105.4 |
103.2 |
2.0 |
1.9 |
|
HFPO-DA |
105.4 |
100.4 |
107.2 |
102.3 |
103.9 |
3.0 |
2.9 |
|
PFHpA |
101.7 |
99.7 |
99.6 |
98.7 |
99.9 |
1.3 |
1.3 |
|
PFHxS* |
107.0 |
104.9 |
104.6 |
104.5 |
105.2 |
1.2 |
1.1 |
|
ADONA* |
97.4 |
94.3 |
94.8 |
92.4 |
94.7 |
2.1 |
2.2 |
|
6:2 FTS* |
104.6 |
104.1 |
103.1 |
101.8 |
103.4 |
1.2 |
1.2 |
|
PFOA |
104.7 |
100.2 |
102.7 |
102.0 |
102.4 |
1.9 |
1.8 |
|
PFHpS* |
105.2 |
104.9 |
101.7 |
105.0 |
104.2 |
1.7 |
1.6 |
|
PFNA |
105.1 |
102.8 |
104.0 |
105.1 |
104.2 |
1.1 |
1.0 |
|
PFOS* |
104.6 |
101.5 |
104.4 |
102.4 |
103.2 |
1.5 |
1.4 |
|
9Cl-PF3ONS* |
98.4 |
95.4 |
95.3 |
96.1 |
96.3 |
1.4 |
1.5 |
|
8:2 FTS* |
106.6 |
107.1 |
105.1 |
105.8 |
106.2 |
0.9 |
0.8 |
|
PFDA |
100.7 |
99.2 |
100.5 |
104.0 |
101.1 |
2.1 |
2.0 |
|
PFUnA |
103.8 |
103.1 |
101.2 |
101.0 |
102.3 |
1.4 |
1.4 |
|
11Cl-PF3OUdS* |
99.4 |
98.3 |
97.6 |
96.5 |
97.9 |
1.2 |
1.2 |
|
PFDoA |
105.4 |
104.2 |
101.4 |
102.7 |
103.4 |
1.8 |
1.7 |
|
Replicate |
1 |
2 |
3 |
4 |
Average |
Std Dev |
RSD |
|
|
(%) |
(%) |
(%) |
(%) |
(%) |
(%) |
(%) |
|
PFBA |
106.6 |
104.8 |
101.5 |
100.5 |
103.3 |
2.8 |
2.8 |
|
PFMPA |
107.0 |
103.8 |
97.2 |
99.0 |
101.7 |
4.5 |
4.4 |
|
PFPeA |
102.6 |
100.8 |
101.6 |
94.5 |
99.9 |
3.7 |
3.7 |
|
PFBS* |
104.4 |
102.4 |
103.3 |
99.8 |
102.5 |
2.0 |
1.9 |
|
PFMBA |
111.2 |
109.2 |
105.0 |
104.1 |
107.4 |
3.4 |
3.1 |
|
PFEESA* |
103.8 |
101.5 |
100.5 |
98.6 |
101.1 |
2.1 |
2.1 |
|
NFDHA |
98.9 |
103.7 |
118.6 |
101.4 |
105.7 |
8.8 |
8.4 |
|
4:2 FTS* |
102.4 |
101.6 |
97.9 |
99.1 |
100.2 |
2.1 |
2.1 |
|
PFHxA |
103.6 |
103.0 |
100.5 |
99.9 |
101.7 |
1.8 |
1.8 |
|
PFPeS* |
100.9 |
100.2 |
103.7 |
99.3 |
101.0 |
1.9 |
1.9 |
|
HFPO-DA |
101.3 |
105.6 |
110.6 |
97.2 |
103.7 |
5.7 |
5.5 |
|
PFHpA |
97.4 |
97.3 |
98.8 |
94.1 |
96.9 |
2.0 |
2.0 |
|
PFHxS* |
102.8 |
102.2 |
102.5 |
96.6 |
101.0 |
2.9 |
2.9 |
|
ADONA* |
98.3 |
98.6 |
98.5 |
91.2 |
96.7 |
3.7 |
3.8 |
|
6:2 FTS* |
103.2 |
102.8 |
99.7 |
99.0 |
101.2 |
2.1 |
2.1 |
|
PFOA |
100.1 |
98.9 |
98.5 |
96.8 |
98.6 |
1.3 |
1.4 |
|
PFHpS* |
100.1 |
101.8 |
107.0 |
99.9 |
102.2 |
3.3 |
3.2 |
|
PFNA |
109.6 |
105.4 |
103.6 |
100.2 |
104.7 |
3.9 |
3.7 |
|
PFOS* |
101.8 |
99.8 |
97.3 |
99.2 |
99.5 |
1.8 |
1.9 |
|
9Cl-PF3ONS* |
102.6 |
99.1 |
92.0 |
95.6 |
97.3 |
4.6 |
4.7 |
|
8:2 FTS* |
101.5 |
97.3 |
96.2 |
91.6 |
96.7 |
4.1 |
4.2 |
|
PFDA |
101.0 |
98.0 |
96.8 |
98.4 |
98.5 |
1.8 |
1.8 |
|
PFUnA |
99.4 |
96.9 |
96.1 |
98.6 |
97.8 |
1.5 |
1.5 |
|
11Cl-PF3OUdS* |
100.8 |
98.0 |
95.0 |
94.4 |
97.1 |
3.0 |
3.0 |
|
PFDoA |
103.6 |
101.1 |
100.9 |
98.1 |
100.9 |
2.2 |
2.2 |
Appendix G
Carryover Data
|
Replicate |
1 |
2 |
3 |
4 |
Average |
|
|
(ng/L) |
(ng/L) |
(ng/L) |
(ng/L) |
(ng/L) |
|
PFBA |
0.07 |
0.09 |
0.08 |
0.10 |
0.08 |
|
PFMPA |
0.01 |
0.00 |
0.01 |
0.01 |
0.01 |
|
PFPeA |
0.05 |
0.05 |
0.06 |
0.05 |
0.05 |
|
PFBS* |
0.02 |
0.02 |
0.02 |
0.01 |
0.02 |
|
PFMBA |
0.00 |
0.01 |
0.01 |
0.00 |
0.00 |
|
PFEESA* |
0.00 |
0.00 |
0.00 |
0.01 |
0.00 |
|
NFDHA |
0.00 |
0.00 |
0.00 |
0.00 |
0.00 |
|
4:2 FTS* |
0.04 |
0.06 |
0.04 |
0.04 |
0.05 |
|
PFHxA |
0.03 |
0.04 |
0.02 |
0.03 |
0.03 |
|
PFPeS* |
0.00 |
0.00 |
0.00 |
0.00 |
0.00 |
|
HFPO-DA |
0.00 |
0.00 |
0.00 |
0.00 |
0.00 |
|
PFHpA |
0.03 |
0.03 |
0.04 |
0.03 |
0.03 |
|
PFHxS* |
0.02 |
0.01 |
0.02 |
0.01 |
0.02 |
|
ADONA* |
0.00 |
0.00 |
0.00 |
0.00 |
0.00 |
|
6:2 FTS* |
0.04 |
0.06 |
0.04 |
0.03 |
0.04 |
|
PFOA |
0.07 |
0.06 |
0.09 |
0.05 |
0.07 |
|
PFHpS* |
0.00 |
0.00 |
0.00 |
0.00 |
0.00 |
|
PFNA |
0.04 |
0.02 |
0.03 |
0.03 |
0.03 |
|
PFOS* |
0.05 |
0.06 |
0.05 |
0.05 |
0.05 |
|
9Cl-PF3ONS* |
0.01 |
0.01 |
0.00 |
0.01 |
0.01 |
|
8:2 FTS* |
0.02 |
0.02 |
0.02 |
0.02 |
0.02 |
|
PFDA |
0.04 |
0.03 |
0.04 |
0.02 |
0.03 |
|
PFUnA |
0.02 |
0.04 |
0.03 |
0.01 |
0.03 |
|
11Cl-PF3OUdS* |
0.02 |
0.01 |
0.00 |
0.00 |
0.01 |
|
PFDoA |
0.05 |
0.05 |
0.04 |
0.04 |
0.04 |
Literature number: AN972