Dec 6, 2025 7:15:01 AM
Manual extraction of PFAS in drinking water in compliance with ISO 21675
By Biotage
Introduction
Per- and polyfluorinated alkyl substances (PFAS) have been used abundantly since their inception in the twentieth century and have become a closely monitored class of compounds within environmental testing. This application note outlines a procedure for those seeking to follow ISO 21675. The data presented was generated using a Biotage® VacMaster™ vacuum manifold with a PFAS free Large Volume Extraction (LVE) kit in conjunction with EVOLUTE® PFAS SPE cartridges and a TurboVap® LV system.
Equipment and materials used
Biotage
- Biotage® VacMaster™ 20 Sample Processing Station With 15 mm Rack, p/n 121-2015ML, fitted with polypropylene (PFAS free) stopcocks (p/n 121-0009-PP)
- Biotage® VacMaster™ LVE Kit (PFAS) for 1, 3, 6 mL SPE Cartridges (p/n 121-2190)
- EVOLUTE® PFAS 500 mg/6 mL SPE Cartridges, p/n 614-0050-CP
- EVOLUTE® PFAS 150 mg/6 mL SPE Cartridges, p/n 614-0015-CP
- TurboVap® LV Automated Solvent Evaporation System, p/n 415000
- TurboVap® LV Multi Rack (48 Positions, 10–20 mm Tubes), p/n 414964
Wellington Laboratories
- ISO 21675:2019 Labelled Stock Solution, 1.2 mL, p/n ISO 21675-LSS
- ISO 21675:2019 Native Stock Solution, 1.2 mL, p/n ISO 21675-NSS
Agilent
- InfinityLab PFC Delay Cartridge, 4.6 x 30 mm, p/n 5062-8100
- ZORBAX RRHD Eclipse Plus C18, 95 Å, 2.1 x 50 mm, 1.8 µm, p/n 959757-902
Sigma-Aldrich
- Ammonium Acetate, ACS Reagent Grade ≥ 97%, p/n 238074-25G
- Acetic Acid, Glacial, Reagent Plus® , ≥ 99% p/n A6283
Honeywell
- Water, ACS Certified, HPLC Grade, p/n AH365-4
- Methanol, Burdick & Jackson™ , LC-MS Grade, p/n LC230-4
VWR
- 15 mL Polypropylene Centrifuge Tubes with Caps, p/n 21008-670
- 250 mL Polypropylene Wide Mouth Bottles, p/n 414004-125
Analytes
Table 1. Listing of Target Analytes and Internal Standards.
|
Target Analyte |
Acronym |
CAS |
|
Perfluoro-n-butanesulfonic acid |
PFBS |
375-73-5 |
|
Perfluoro-n-hexanesulfonic acid |
PFHxS |
355-46-4 |
|
Perfluoro-n-heptanesulfonic acid |
PFHpS |
375-92-8 |
|
Perfluoro-n-octanesulfonic acid |
PFOS |
1763-23-1 |
|
Perfluoro-n-decanesulfonic acid |
PFDS |
335-77-3 |
|
Perfluorooctanesulfonamide |
FOSA |
754-91-6 |
|
N-methyl perfluoroctanesulfonamide |
N-MeFOSA |
31506-32-8 |
|
N-ethyl perfluorooctanesulfonamide |
N-EtFOSA |
4151-50-2 |
|
N-methyl perfluorooctanesulfonamidoacetic acid |
N-MeFOSAA |
2355-31-9 |
|
N-ethyl perfluorooctanesulfonamidoacetic acid |
N-EtFOSAA |
2991-50-6 |
|
6:2 Fluorotelomer sulfonic acid |
6:2 FTSA |
27619-97-2 |
|
8:2 Fluorotelomer sulfonic acid |
8:2 FTSA |
39108-34-4 |
|
9-Chlorohexadecafluoro-3-oxanonane-1-sulfonic acid |
9Cl-PF3ONS |
73606-19-6 |
|
Perfluoro-n-butanoic acid |
PFBA |
375-22-4 |
|
Perfluoro-n-pentanoic acid |
PFPeA |
2706-90-3 |
|
Perfluoro-n-hexanoic acid |
PFHxA |
307-24-4 |
|
Perfluoro-n-heptanoic acid |
PFHpA |
375-85-9 |
|
Perfluoro-n-octanoic acid |
PFOA |
335-67-1 |
|
Perfluoro-n-nonanoic acid |
PFNA |
375-95-1 |
|
Perfluoro-n-decanoic acid |
PFDA |
335-76-2 |
|
Perfluoro-n-undecanoic acid |
PFUnDA |
2058-94-8 |
|
Perfluoro-n-dodecanoic acid |
PFDoDA |
307-55-1 |
|
Perfluoro-n-tridecanoic acid |
PFTrDA |
72629-94-8 |
|
Perfluoro-n-tetradecanoic acid |
PFTeDA |
376-06-7 |
|
Perfluoro-n-hexadecanoic acid |
PFHxDA |
67905-19-5 |
|
Perfluoro-n-octadecanoic acid |
PFOcDA |
16517-11-6 |
|
8:2 Fluorotelomer unsaturated carboxylic acid |
8:2 FTUCA |
70887-84-2 |
|
8:2 Polyfluoroalkyl phosphate diester |
8:2 diPAP |
678-41-1 |
|
Hexafluoropropylene oxide dimer acid |
HFPO-DA |
13252-13-6 |
|
4,8-Dioxa-3H-perfluorononanoic acid |
DONA |
919005-14-4 |
|
Target Analyte |
Acronym CAS |
|
Internal Standard |
|
|
Sodium perfluoro-1-[2,3,4-13C3]butanesulfonate |
13C3-PFBS |
|
Sodium perfluoro-1-[1,2,3-13C3]hexanesulfonate |
13C3-PFHxS |
|
Sodium perfluoro-1-[1,2,3-18O2]hexanesulfonate |
18O2-PFHxS |
|
Sodium perfluoro-1-[1,2,3,4-13C4]octanesulfonate |
13C4-PFOS |
|
Sodium perfluoro-1-[1,2,3,4-13C8]octanesulfonate |
13C8-PFOS |
|
Perfluoro-1-[13C8]octanesulfonamide |
13C8-FOSA |
|
N-methyl-d3-perfluoro-1-octanesulfonamide |
d3-N-MeFOSA |
|
N-ethyl-d5-perfluoro-1-octanesulfonamide |
d5-N-EtFOSA |
|
N-deuteriomethylperfluoro-1-octanesulfonamidoacetic acid |
d3-N-MeFOSAA |
|
N-deuterioethylperfluoro-1-octanesulfonamidoacetic acid |
d5-N-EtFOSAA |
|
Sodium 1H,1H,2H,2H-perfluoro-1-[1,2-13C2]-octane sulfonate |
13C2-6:2 FTSA |
|
Sodium 1H,1H,2H,2H-perfluoro-1-[1,2-13C2]-decane sulfonate |
13C2-8:2 FTSA |
|
Perfluoro-n-[1,2,3,4-13C4]butanoic acid |
13C4-PFBA |
|
Perfluoro-n-[1,2,3,4,5-13C5]pentanoic acid |
13C5-PFPeA |
|
Perfluoro-n-[1,2-13C2]hexanoic acid |
13C2-PFHxA |
|
Perfluoro-n-[1,2-13C5]hexanoic acid |
13C5-PFHxA |
|
Perfluoro-n-[1,2,3,4-13C4]heptanoic acid |
13C4-PFHpA |
|
Perfluoro-[1,2-13C4]octanoic acid |
13C4-PFOA |
|
Perfluoro-[1,2-13C8]octanoic acid |
13C8-PFOA |
|
Perfluoro-n-[13C5]nonanoic acid |
13C5-PFNA |
|
Perfluoro-n-[13C9]nonanoic acid |
13C9-PFNA |
|
Perfluoro-n-[1,2-13C2]decanoic acid |
13C2-PFDA |
|
Perfluoro-n-[1,2-13C6]decanoic acid |
13C6-PFDA |
|
Perfluoro-n-[1,2,3,4,5,6,7-13C2]undecanoic acid |
13C2-PFUnDA |
|
Perfluoro-n-[1,2,3,4,5,6,7-13C7]undecanoic acid |
13C7-PFUnDA |
|
Perfluoro-n-[1,2-13C2]dodecanoic acid |
13C2-PFDoDA |
|
Perfluoro-n-[1,2-13C2]tetradecanoic acid |
13C2-PFTeDA |
|
Perfluoro-n-[1,2-13C2]hexadecanoic acid |
13C2-PFHxDA |
|
2H-Perfluoro-[1,2-13C2]-2-decenoic acid |
13C2-8:2 FTUCA |
|
Sodium bis(1H,1H,2H,2H-[1,2-13C2]perfluorodecyl)- phosphate |
13C4-8:2 diPAP |
|
Tetrafluoro-2-heptafluoropropoxy-13C3-propanoic acid |
13C3-HFPO-DA |
Solution preparation
Ammonia/Methanol solution
- Add 400 μL of NH4OH for every 100 mL of methanol to a clean beaker.
- Agitate to homogenize.
- Prepare new solution daily.
Acetate buffer
- Measure out 499.5 mL of reagent water in a clean beaker.
- Add 0.193 g of NH4Ac.
- Sonicate the solution for 5 minutes until the salt is fully dissolved.
- Add 570 μL of glacial acetic acid.
- Agitate to homogenize the solution.
Working spiking solution
- Dilute 100 μL of the native stock solution with 900 μL of methanol to achieve a 10 ppt solution.
Summary of SPE method
SPE cartridge format
EVOLUTE® PFAS 500 mg/6 mL or EVOLUTE® PFAS 150 mg/6 mL
Sample pre-treatment
Adjust the pH of each sample to 3 using glacial acetic acid. Add targets and internal standards.
Conditioning
Condition each cartridge with 0.1 % NH4OH in methanol (10 mL) followed by methanol (10 mL).
Equilibration
Equilibrate each cartridge with reagent water (10 mL).
Sample loading
Load sample at a flow rate of 5 mL/min.
Wash
Rinse the sample container with acetate buffer solution (10 mL) and load onto the cartridge. Repeat using reagent water (10 mL).
Dry
Dry the cartridge for 5 minutes at a flow rate of 5 mL/min.
Elution
Rinse the sample container with methanol (5 mL) and use to elute the analytes from the cartridge at a flow rate of 2 mL/min. Repeat using 0.1 % NH4OH in methanol (5 mL).
Post extraction
Concentrate the extract to a volume of 1 mL and analyse.
Sample preparation procedure
- Clean all parts of the Biotage® VacMaster™ system per the procedure given in Appendix A.
- Set up and fill new sample containers with of water; 250–500 mL are typical for this method.
- Add glacial acetic acid to each of the sample containers to reduce the pH to 3 (approximately 100 μL for 250 mL sample volumes and 200 μL for 500 mL sample volumes).
- Verify the pH of the sample is 3 using pH paper. To reduce the possibility of contamination, a duplicate volume was collected and adjusted to the appropriate pH and the same volume of acid was added to the sample container.
- Prepare for the determination of the initial sample volume by either marking the level of the sample on the container or by weighing the sample container.
- Add 20 μL of the undiluted Labelled Stock Solution to each of the sample containers. If desired, fortify a sample using target analytes: the addition of 125 μL or 37.5 μL of the native stock solution will yield either 50 ppt or 15 ppt concentrations respectively, while the addition of 50 μL of the working spiking solution will yield a 2 ppt concentration. If the mixes used were different than the ones outlined in this note, adjust the concentration or spiking amounts as needed.
- Load the desired EVOLUTE® PFAS cartridges onto the Biotage® VacMaster™. Seal any unused positions using VacMaster™ Port Sealing Plugs (p/n 121-0005)
- Rinse each cartridge with 10 mL of 0.1 % NH4OH in methanol and apply vacuum at 10 mL/min to pull it to waste. Do not allow the sorbent to go dry.
- Rinse each cartridge with 10 mL of methanol and apply vacuum at 10 mL/min to pull it to waste. Do not allow the sorbent to go dry.
- Rinse each cartridge with 10 mL of reagent water and apply vacuum at 10 mL/min to send it to waste. Do not allow the water level to drop below the top of the packing.
- Using the Biotage® VacMaster™ LVE Kit, place one end of the cleaned tubing into the bottom of each of the sample
containers, and secure in position using the clips provided. - Load the samples onto the cartridges using a flow rate of 5 mL/min.
- Once the sample has been fully loaded, rinse the sample containers using 10 mL of acetate buffer solution, swirl to ensure the full rinsing of the container, and load the aliquot onto the cartridge at a rate of 5 mL/min.
- Rinse the sample containers using 10 mL of reagent water, swirl to ensure the full rinsing of the container, and load the aliquot onto the cartridge at a rate of 5 mL/min.
- Dry the cartridge for 5 minutes at a rate of 5 mL/min.
- Load 15 mL centrifuge tubes into the rack corresponding to each of the cartridge positions and load into the Biotage® VacMaster™.
- Rinse each sample container using 5 mL of methanol and swirl to ensure the full rinsing of the container. Load the aliquot through the appropriate cartridge and collect at a dropwise rate.
- Rinse each sample container using 5 mL of 0.1% NH4OH in methanol and swirl to ensure the full rinsing of the container. Load the aliquot through the appropriate cartridge and collect at a dropwise rate.
- Determine the initial sample volume by either using a graduated cylinder and filling the sample container to the original mark or by taking an additional weight of the container.
- Transfer the centrifuge tubes to the TurboVap® LV system and concentrate the samples to just under 1 mL using nitrogen according to the parameters in Table 2.
- Bring the final extract to 1 mL and transfer to an autosampler vial.
- Load the extract onto a calibrated LC-MS/MS system and process using the conditions given in the below sections.
TurboVap® LV concentration protocol
Bath Temp: 60 ˚C
Evaporation Mode: Method (Ramp Gradient)
Manifold Setup: 48 positions
Rack Row Height: 120 mm*
Step 1: 1.5 L/min for 20 min
Step 2: 3.0 L/min for 15 min
Step 3: 3.5 L/min for 45 min
*The nozzle position was adjusted such that it was as far to the right as possible to give the user a clear view of the vortex within the tube.
LC-MS/MS conditions
Agilent 1290 Infinity II LC System
» 1290 Infinity II Multicartridge Thermostat, G7116B
» 1290 Infinity II Multisampler, G7167B
» 1290 Infinity II High Speed Pump, G7120A
» InfinityLab PFC-free HPLC Conversion Kit, 5004-0006
Cartridges
» InfinityLab PFC Delay Cartridge, 4.6 x 30 mm, p/n 5062-8100
» ZORBAX RRHD Eclipse Plus C18, 95 Å, 2.1 x 50 mm, 1.8 µm, p/n 959757-902
Mobile phases
» A: 20 mM Ammonium Acetate in Water
» B: Methanol
|
Time (min) |
%A |
%B |
|
0.50 |
95.00 |
5.00 |
|
3.00 |
60.00 |
40.00 |
|
16.00 |
20.00 |
80.00 |
|
18.00 |
20.00 |
80.00 |
|
20.00 |
5.00 |
95.00 |
|
20.50 |
0.00 |
100.00 |
|
25.00 |
0.00 |
100.00 |
|
26.00 |
5.00 |
95.00 |
» Flow Rate: 0.2 mL/min
» Injection Volume: 5 μL
» Cartridge Temperature: 50 ˚C
Agilent 6470 MS/MS, G6470B
» Gas Temperature: 230 ˚C
» Gas Flow: 4 L/min
» Nebulizer: 20 psi
» Sheath Gas Temperature: 375 ˚C
» Sheath Gas Flow: 12 L/min
» Capillary Voltage (Positive): 3500 V
» Capillary Voltage (Negative): 3500 V
» Nozzle Voltage (Positive): 500 V
» Nozzle Voltage (Negative): 0 V
For a complete listing of MRM Transitions, see Appendix B
Results
System calibration
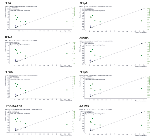
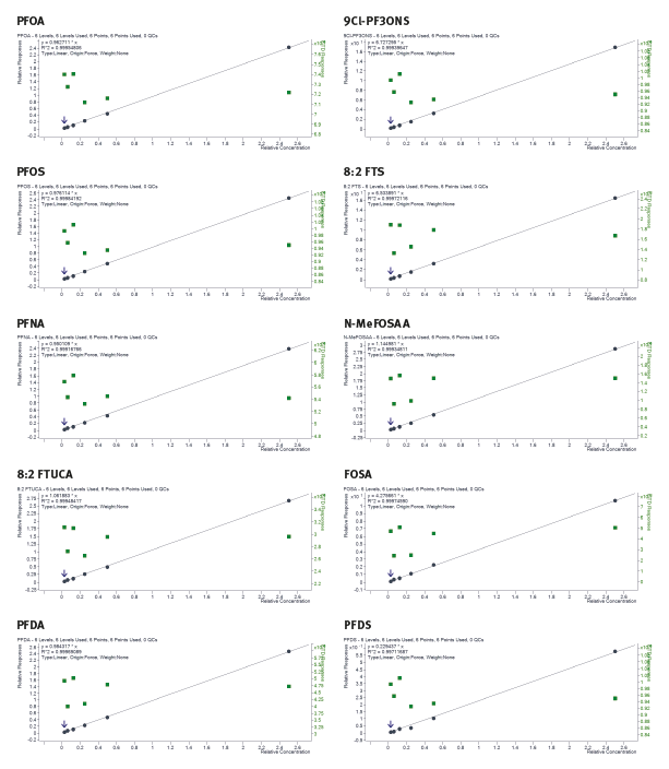
For the work being done here, a total of six points were used in the calibration covering a range of 0.2–20 ppt in the sample. The lowest three points were below the calculated MRL. The curve was forced through zero and achieved excellent linearity across the calibration range.

Figure 1. Calibration curves for PFBS and PFHxS. Calibration curves for the remaining target analytes in Table 1 are shown in Appendix C.
Determination of the Minimum Reporting Level (MRL) and Detection Limits (DL)
A target MRL of 2 ng/L was selected and at least seven replicate laboratory fortified blanks (LFBs) were created and run at that concentration. Figure 2 below illustrates the results of this test for both the 150 mg and 500 mg cartridges using 250 mL sample volumes; all compounds were recovered within 15% of the spiked amount and had less than 10% CV.

Figure 2. MRL and DL Recoveries. Those compounds with an asterisk were used in salt form.
The data for individual compounds is shown in Appendix D.
Demonstration of low system background
An investigation into the background of the complete process was done in three steps. The first step was to run blank injections of methanol on the analytical system (system blank). The second step was to load centrifuge tubes containing a similar volume of methanol as would result from the extraction process onto the evaporation system, allowing them to concentrate and then run on the analytical system (evaporation blank). The third and final step was to create a full Laboratory Reagent Blank (LRB), extract and concentrate it, and run it on the analytical system. By separating the process into three steps it becomes easier to determine what, if any, contribution to the overall background each of the steps has. The result of these tests are given in Appendix E and selected data are shown below in Figures 3–5.

Figure 3. Contribution of the TurboVap® LV to the PFAS Background. Those compounds with an asterisk were used in salt form.
Figure 4. PFAS Background for full LRB using EVOLUTE® PFAS 500 mg/6 mL cartridges. Those compounds with an asterisk were used in salt form.
Figure 5. PFAS Background for full LRB using EVOLUTE® PFAS 150 mg/6 mL cartridges. Those compounds with an asterisk were used in salt form.
For those results which were generated using only the analytical system, all target analytes were N.D. (unable to be separated from the noise in the baseline) and so were not listed out in the previous tables.
When examining the data resulting for both the TurboVap® LV and the full LRB tests (which includes the Biotage® VacMaster™ manifold, PFAS Free Large Volume Loading Kit, and the EVOLUTE® cartridges as well as the TurboVap® LV) there are clear indications of the presence of a PFAS background. However, even at the highest concentrations detected, all levels are much lower than the 1/3 MRL limit indicating that the background is acceptable and will not interfere with future sample runs.
Initial Demonstration of Precision and Accuracy (IDP, IDA)
To determine the precision and accuracy of the sample preparation process, four LFB samples were prepared at concentrations of 15 ppt. The data is given in Appendix F and illustrated in Figures 6 and 7.
Figure 6. Initial Demonstration of Accuracy (15 ng/L, n=4). Those compounds with an asterisk were used in salt form.
Figure 7. Initial Demonstration of Precision (15 ng/L, n=4). Those compounds with an asterisk were used in salt form.
The results show that the average recovery for each target analyte was within 15% of the nominal value and that the coefficient of variation (CV) for each analyte fell under 10% on average.
Examination of system carryover
To simulate an influent sample, four LFB samples were created with concentrations which were above the range of the calibration curve. These samples were extracted, and the clean-up procedure given in Appendix A was run three times. To ensure that the system background was adequately reduced, a set of four LRB samples were extracted immediately afterwards and analysed. The LRB data is presented in Appendix G and illustrated in Figure 8.

Figure 8. Results of carryover study following four, 50 ng/L LFB samples using EVOLUTE® PFAS 500 mg/6 mL cartridges. Those compounds with an asterisk were used in salt form.
The graph shown in Figure 8 shows a clear indication that the cleaning procedure in Appendix A was successful in reducing the background of PFAS compounds to below the 1/3 MRL limit. For further reductions in the background, additional cleaning steps could be employed.
Conclusion
With the scrutiny being given to the presence of PFAS compounds in the environment, it is essential to find reliable products which can meet the requirements of ISO 21675. This application note has shown that the Biotage® VacMaster™ vacuum manifold with PFAS free accessories, EVOLUTE® PFAS SPE cartridges and the TurboVap® LV can be used to easily meet and exceed the demands of the method.
Ordering information
|
Part Number |
Description |
Qty |
|
121-2015ML |
Biotage® VacMaster™ 20 Sample Processing Station With 15 mm Rack |
1 |
|
121-2190 |
Biotage® VacMaster™ LVE Kit (PFAS) for 1, 3, 6 mL SPE Cartridges |
1 |
|
121-0009-PP |
Polypropylene (PFAS) Stopcocks |
10 |
|
614-0050-CP |
EVOLUTE® PFAS 500 mg/6 mL cartridges |
30 |
|
614-0015-CP |
EVOLUTE® PFAS 150 mg/6 mL cartridges |
30 |
|
415000 |
TurboVap® LV Automated Solvent Evaporation System |
1 |
|
414964 |
TurboVap® LV Multi Rack (48 Positions, 10–20 mm Tubes) |
1 |
Appendix A
Biotage® VacMaster™ cleaning procedure
For the best results, it is recommended that this procedure be completed before the use of the Biotage® VacMaster™ each day and at the end of each extraction prior to proceeding with the next set of samples.
- Ensure that a cartridge and cartridge adapter is installed onto each VacMaster™ position slated to be cleaned.
- Fill a clean beaker with 50 mL of methanol and place no more than four of the LVE Kit lines into the beaker.
- Apply vacuum to the manifold and pull the methanol through the positions into the waste container.
- Remove the cartridge and discard.
- Using methanol in a squeeze bottle, clean the exterior of the LVE Kit’s lines, the cartridge adapters, the stopcock, and the metal cannula. Discard all rinsate.
- Repeat this up to three times for all positions which require cleaning.
Note: In situations where the previous sample was highly concentrated, the above cleaning procedure may need to be repeated multiple times. If there is concern regarding potential carryover contamination regardless of the cleaning procedure, a laboratory reagent blank should be run in that position to ensure its cleanliness.
Appendix B
MRM transitions
MRM Transitions for Agilent 6470 MS/MS.
|
Cpd Name |
ISTD? |
Prec Ion |
MS1 Res |
Prod Ion |
MS2 Res |
Frag (V) |
CE (V) |
Cell Acc (V) |
Ret Time (min) |
Ret Window |
Polarity |
|
6:2FTS |
No |
427 |
Unit/Enh (6490) |
406.8 |
Unit/Enh (6490) |
125 |
24 |
5 |
13.3 |
1.37 |
Negative |
|
6:2FTS |
No |
427 |
Unit/Enh (6490) |
80.9 |
Unit/Enh (6490) |
125 |
40 |
5 |
13.3 |
1.37 |
Negative |
|
8:2 diPAP |
No |
989 |
Unit/Enh (6490) |
543 |
Unit/Enh (6490) |
100 |
20 |
5 |
22.15 |
2.33 |
Negative |
|
8:2 diPAP |
No |
989 |
Unit/Enh (6490) |
97 |
Unit/Enh (6490) |
100 |
20 |
5 |
22.15 |
2.33 |
Negative |
|
8:2 FTS |
No |
527 |
Unit/Enh (6490) |
506.8 |
Unit/Enh (6490) |
170 |
28 |
5 |
16.2 |
1.64 |
Negative |
|
8:2 FTS |
No |
527 |
Unit/Enh (6490) |
80.9 |
Unit/Enh (6490) |
170 |
40 |
5 |
16.2 |
1.64 |
Negative |
|
8:2 FTUCA |
No |
457 |
Unit/Enh (6490) |
393 |
Unit/Enh (6490) |
100 |
28 |
5 |
15.25 |
1.56 |
Negative |
|
8:2 FTUCA |
No |
457 |
Unit/Enh (6490) |
343 |
Unit/Enh (6490) |
100 |
28 |
5 |
15.25 |
1.56 |
Negative |
|
9Cl-PF3ONS |
No |
530.9 |
Unit/Enh (6490) |
350.9 |
Unit/Enh (6490) |
145 |
28 |
5 |
15.7 |
1.6 |
Negative |
|
9Cl-PF3ONS |
No |
530.9 |
Unit/Enh (6490) |
83 |
Unit/Enh (6490) |
145 |
32 |
5 |
15.7 |
1.6 |
Negative |
|
ADONA |
No |
377 |
Unit/Enh (6490) |
250.9 |
Unit/Enh (6490) |
80 |
12 |
5 |
11.8 |
1.23 |
Negative |
|
ADONA |
No |
377 |
Unit/Enh (6490) |
85 |
Unit/Enh (6490) |
80 |
36 |
5 |
11.8 |
1.23 |
Negative |
|
C2-6:2FTS |
No |
429 |
Unit/Enh (6490) |
81 |
Unit/Enh (6490) |
125 |
24 |
5 |
13.3 |
1.37 |
Negative |
|
C2-8:2FTS |
No |
529 |
Unit/Enh (6490) |
81 |
Unit/Enh (6490) |
170 |
28 |
5 |
16.2 |
1.64 |
Negative |
|
C2-8:2FTUCA |
No |
459 |
Unit/Enh (6490) |
394 |
Unit/Enh (6490) |
100 |
28 |
5 |
15.25 |
1.56 |
Negative |
|
C2-PFDoA |
No |
615 |
Unit/Enh (6490) |
570 |
Unit/Enh (6490) |
79 |
5 |
5 |
18.2 |
1.84 |
Negative |
|
C2-PFHxDA |
No |
815 |
Unit/Enh (6490) |
770 |
Unit/Enh (6490) |
100 |
20 |
5 |
21.5 |
2.19 |
Negative |
|
C2-PFTeDA |
No |
715 |
Unit/Enh (6490) |
670 |
Unit/Enh (6490) |
79 |
5 |
5 |
19.9 |
2.03 |
Negative |
|
C3-HFPO-DA |
No |
287 |
Unit/Enh (6490) |
169 |
Unit/Enh (6490) |
155 |
4 |
5 |
10.3 |
1 |
Negative |
|
C3-PFBS |
No |
302 |
Unit/Enh (6490) |
80 |
Unit/Enh (6490) |
100 |
45 |
5 |
7.9 |
1.61 |
Negative |
|
C3-PFHxS |
No |
402 |
Unit/Enh (6490) |
80 |
Unit/Enh (6490) |
100 |
49 |
5 |
11.7 |
1.5 |
Negative |
|
C4-8:2diPAP |
No |
993 |
Unit/Enh (6490) |
545 |
Unit/Enh (6490) |
100 |
20 |
5 |
22.15 |
2.23 |
Negative |
|
C4-PFBA |
No |
217 |
Unit/Enh (6490) |
172 |
Unit/Enh (6490) |
60 |
8 |
5 |
5.1 |
1.45 |
Negative |
|
C4-PFHpA |
No |
367 |
Unit/Enh (6490) |
322 |
Unit/Enh (6490) |
72 |
0 |
5 |
11.6 |
1.2 |
Negative |
|
C5-PFHxA |
No |
318 |
Unit/Enh (6490) |
273 |
Unit/Enh (6490) |
70 |
8 |
5 |
9.7 |
1.14 |
Negative |
|
C5-PFPeA |
No |
268 |
Unit/Enh (6490) |
223 |
Unit/Enh (6490) |
60 |
20 |
5 |
7.4 |
1.55 |
Negative |
|
C6-PFDA |
No |
519 |
Unit/Enh (6490) |
474 |
Unit/Enh (6490) |
81 |
4 |
5 |
16.2 |
1.65 |
Negative |
|
C7-PFUdA |
No |
570 |
Unit/Enh (6490) |
525 |
Unit/Enh (6490) |
100 |
20 |
5 |
17.2 |
1.75 |
Negative |
|
C8-FOSA |
No |
506 |
Unit/Enh (6490) |
78 |
Unit/Enh (6490) |
150 |
20 |
5 |
16.8 |
1.71 |
Negative |
|
C8-PFOA |
No |
421 |
Unit/Enh (6490) |
376 |
Unit/Enh (6490) |
80 |
8 |
5 |
13.4 |
1.38 |
Negative |
|
C8-PFOS |
No |
507 |
Unit/Enh (6490) |
80 |
Unit/Enh (6490) |
100 |
50 |
5 |
15 |
1.53 |
Negative |
|
C9-PFNA |
No |
472 |
Unit/Enh (6490) |
427 |
Unit/Enh (6490) |
66 |
4 |
5 |
14.9 |
1.52 |
Negative |
|
d3-N-MeFOSA |
No |
515 |
Unit/Enh (6490) |
169 |
Unit/Enh (6490) |
100 |
28 |
5 |
18.8 |
1.91 |
Negative |
|
d3-N-MeFOSAA |
No |
573 |
Unit/Enh (6490) |
419 |
Unit/Enh (6490) |
100 |
20 |
5 |
16.7 |
1.7 |
Negative |
|
d5-N-EtFOSA |
No |
531 |
Unit/Enh (6490) |
169 |
Unit/Enh (6490) |
100 |
32 |
5 |
19.6 |
1.2 |
Negative |
|
d5-N-EtFOSAA |
No |
589 |
Unit/Enh (6490) |
419 |
Unit/Enh (6490) |
100 |
20 |
5 |
17.25 |
1.75 |
Negative |
|
FOSA |
No |
498 |
Unit/Enh (6490) |
169 |
Unit/Enh (6490) |
100 |
38 |
5 |
16.8 |
1.71 |
Negative |
|
FOSA |
No |
498 |
Unit/Enh (6490) |
78 |
Unit/Enh (6490) |
150 |
38 |
5 |
16.8 |
1.71 |
Negative |
|
Cpd Name |
ISTD? |
Prec Ion |
MS1 Res |
Prod Ion |
MS2 Res |
Frag (V) |
CE (V) |
Cell Acc (V) |
Ret Time (min) |
Ret Window |
Polarity |
|
HFPO-DA-CO2 |
No |
285 |
Unit/Enh (6490) |
184.9 |
Unit/Enh (6490) |
155 |
16 |
5 |
10.3 |
1.5 |
Negative |
|
HFPO-DA-CO2 |
No |
285 |
Unit/Enh (6490) |
168.9 |
Unit/Enh (6490) |
155 |
4 |
5 |
10.3 |
1.5 |
Negative |
|
N-EtFOSA |
No |
526 |
Unit/Enh (6490) |
219 |
Unit/Enh (6490) |
100 |
32 |
5 |
19.6 |
1.99 |
Negative |
|
N-EtFOSA |
No |
526 |
Unit/Enh (6490) |
169 |
Unit/Enh (6490) |
100 |
28 |
5 |
19.6 |
1.99 |
Negative |
|
N-EtFOSAA |
No |
584 |
Unit/Enh (6490) |
526 |
Unit/Enh (6490) |
100 |
20 |
5 |
17.3 |
1.75 |
Negative |
|
N-EtFOSAA |
No |
584 |
Unit/Enh (6490) |
419 |
Unit/Enh (6490) |
100 |
20 |
5 |
17.3 |
1.75 |
Negative |
|
N-MeFOSA |
No |
512 |
Unit/Enh (6490) |
219 |
Unit/Enh (6490) |
100 |
28 |
5 |
18.8 |
1.91 |
Negative |
|
N-MeFOSA |
No |
512 |
Unit/Enh (6490) |
169 |
Unit/Enh (6490) |
100 |
28 |
5 |
18.8 |
1.91 |
Negative |
|
N-MeFOSAA |
No |
570 |
Unit/Enh (6490) |
512 |
Unit/Enh (6490) |
100 |
20 |
5 |
16.7 |
1.7 |
Negative |
|
N-MeFOSAA |
No |
570 |
Unit/Enh (6490) |
419 |
Unit/Enh (6490) |
100 |
20 |
5 |
16.7 |
1.7 |
Negative |
|
PFBA |
No |
213 |
Unit/Enh (6490) |
168.9 |
Unit/Enh (6490) |
60 |
8 |
5 |
5.1 |
1.48 |
Negative |
|
PFBS |
No |
298.9 |
Unit/Enh (6490) |
98.9 |
Unit/Enh (6490) |
100 |
29 |
5 |
7.9 |
1.41 |
Negative |
|
PFBS |
No |
298.9 |
Unit/Enh (6490) |
80 |
Unit/Enh (6490) |
100 |
45 |
5 |
7.9 |
1.41 |
Negative |
|
PFDA |
No |
513 |
Unit/Enh (6490) |
469 |
Unit/Enh (6490) |
81 |
4 |
5 |
16.2 |
1.65 |
Negative |
|
PFDA |
No |
513 |
Unit/Enh (6490) |
218.7 |
Unit/Enh (6490) |
100 |
16 |
5 |
16.2 |
1.65 |
Negative |
|
PFDoA |
No |
613 |
Unit/Enh (6490) |
569 |
Unit/Enh (6490) |
79 |
5 |
5 |
18.2 |
1.84 |
Negative |
|
PFDoA |
No |
613 |
Unit/Enh (6490) |
268.7 |
Unit/Enh (6490) |
100 |
20 |
5 |
18.2 |
1.84 |
Negative |
|
PFDS |
No |
599 |
Unit/Enh (6490) |
99 |
Unit/Enh (6490) |
100 |
40 |
5 |
17.15 |
1.75 |
Negative |
|
PFDS |
No |
599 |
Unit/Enh (6490) |
80 |
Unit/Enh (6490) |
100 |
40 |
5 |
17.15 |
1.75 |
Negative |
|
PFHpA |
No |
362.9 |
Unit/Enh (6490) |
319 |
Unit/Enh (6490) |
72 |
0 |
5 |
11.6 |
1.2 |
Negative |
|
PFHpA |
No |
362.9 |
Unit/Enh (6490) |
169 |
Unit/Enh (6490) |
72 |
12 |
5 |
11.6 |
1.2 |
Negative |
|
PFHpS |
No |
448.9 |
Unit/Enh (6490) |
98.7 |
Unit/Enh (6490) |
100 |
44 |
5 |
13.5 |
1.39 |
Negative |
|
PFHpS |
No |
448.9 |
Unit/Enh (6490) |
79.7 |
Unit/Enh (6490) |
100 |
52 |
5 |
13.5 |
1.39 |
Negative |
|
PFHxA |
No |
313 |
Unit/Enh (6490) |
268.9 |
Unit/Enh (6490) |
70 |
8 |
5 |
9.7 |
1.12 |
Negative |
|
PFHxA |
No |
313 |
Unit/Enh (6490) |
119 |
Unit/Enh (6490) |
70 |
18 |
5 |
9.7 |
1.12 |
Negative |
|
PFHxDA |
No |
813 |
Unit/Enh (6490) |
769 |
Unit/Enh (6490) |
79 |
5 |
5 |
21.5 |
2.19 |
Negative |
|
PFHxDA |
No |
813 |
Unit/Enh (6490) |
369 |
Unit/Enh (6490) |
100 |
20 |
5 |
21.5 |
2.19 |
Negative |
|
PFHxS |
No |
398.9 |
Unit/Enh (6490) |
99 |
Unit/Enh (6490) |
100 |
45 |
5 |
11.7 |
1.5 |
Negative |
|
PFHxS |
No |
398.9 |
Unit/Enh (6490) |
80 |
Unit/Enh (6490) |
100 |
49 |
5 |
11.7 |
1.5 |
Negative |
|
PFNA |
No |
463 |
Unit/Enh (6490) |
419 |
Unit/Enh (6490) |
66 |
4 |
5 |
14.9 |
1.52 |
Negative |
|
PFNA |
No |
463 |
Unit/Enh (6490) |
219 |
Unit/Enh (6490) |
66 |
17 |
5 |
14.9 |
1.52 |
Negative |
|
PFOA |
No |
413 |
Unit/Enh (6490) |
369 |
Unit/Enh (6490) |
69 |
4 |
5 |
13.4 |
1.38 |
Negative |
|
PFOA |
No |
413 |
Unit/Enh (6490) |
169 |
Unit/Enh (6490) |
69 |
12 |
5 |
13.4 |
1.38 |
Negative |
|
PFOcDA |
No |
913 |
Unit/Enh (6490) |
869 |
Unit/Enh (6490) |
79 |
5 |
5 |
22.35 |
2.25 |
Negative |
|
PFOcDA |
No |
913 |
Unit/Enh (6490) |
369 |
Unit/Enh (6490) |
100 |
20 |
5 |
22.35 |
2.25 |
Negative |
|
PFOS |
No |
498.9 |
Unit/Enh (6490) |
99 |
Unit/Enh (6490) |
100 |
50 |
5 |
15 |
1.53 |
Negative |
|
PFOS |
No |
498.9 |
Unit/Enh (6490) |
80 |
Unit/Enh (6490) |
100 |
50 |
5 |
15 |
1.53 |
Negative |
|
PFPeA |
No |
263 |
Unit/Enh (6490) |
218.9 |
Unit/Enh (6490) |
60 |
8 |
5 |
7.4 |
1.77 |
Negative |
|
PFTeDA |
No |
713 |
Unit/Enh (6490) |
669 |
Unit/Enh (6490) |
79 |
5 |
5 |
19.9 |
2.03 |
Negative |
|
PFTeDA |
No |
713 |
Unit/Enh (6490) |
369 |
Unit/Enh (6490) |
100 |
20 |
5 |
19.9 |
2.03 |
Negative |
|
PFTrDA |
No |
663 |
Unit/Enh (6490) |
619 |
Unit/Enh (6490) |
79 |
5 |
5 |
19 |
1.93 |
Negative |
|
PFTrDA |
No |
663 |
Unit/Enh (6490) |
269 |
Unit/Enh (6490) |
100 |
20 |
5 |
19 |
1.93 |
Negative |
|
PFUnA |
No |
563 |
Unit/Enh (6490) |
519 |
Unit/Enh (6490) |
73 |
5 |
5 |
17.2 |
1.75 |
Negative |
|
PFUnA |
No |
563 |
Unit/Enh (6490) |
269 |
Unit/Enh (6490) |
100 |
20 |
5 |
17.2 |
1.75 |
Negative |
Appendix C
Calibration curves



Figure 9. Calibration curves for the target analytes in Table 1, covering a concentration range of 0.2-20 ppt.
Appendix D
MRL and DL data
MRL and DL Recoveries for EVOLUTE® PFAS 500 mg/6 mL cartridges.
|
|
Conc. (ng/L) |
1 (ng/L) |
2 (ng/L) |
3 (ng/L) |
4 (ng/L) |
5 (ng/L) |
6 (ng/L) |
7 (ng/L) |
x̅ (ng/L) |
x̅ (%) |
s (ng/L) |
CV (%) |
DL (ng/L) |
|
PFBA* |
1.77 |
1.67 |
1.71 |
1.67 |
1.68 |
1.81 |
1.60 |
1.80 |
1.71 |
96 |
0.08 |
4.43 |
0.24 |
|
PFPeA |
2.00 |
1.85 |
1.83 |
1.92 |
1.97 |
1.88 |
1.75 |
1.91 |
1.87 |
94 |
0.07 |
3.81 |
0.22 |
|
PFBS |
2.00 |
1.73 |
1.90 |
1.82 |
1.70 |
1.73 |
1.65 |
1.95 |
1.78 |
89 |
0.11 |
6.12 |
0.34 |
|
PFHxA |
2.00 |
1.80 |
1.92 |
1.89 |
1.80 |
1.98 |
1.75 |
1.92 |
1.87 |
93 |
0.08 |
4.50 |
0.26 |
|
HFPO-DA |
2.00 |
1.80 |
1.58 |
1.48 |
1.83 |
1.89 |
1.73 |
1.69 |
1.71 |
86 |
0.14 |
8.39 |
0.45 |
|
PFHpA |
2.00 |
1.96 |
2.06 |
2.04 |
1.94 |
2.01 |
1.80 |
2.08 |
1.99 |
99 |
0.09 |
4.75 |
0.30 |
|
PFHxS* |
1.90 |
1.85 |
1.78 |
1.77 |
1.70 |
1.82 |
1.73 |
1.77 |
1.77 |
94 |
0.05 |
2.84 |
0.16 |
|
DONA* |
1.89 |
1.76 |
1.85 |
1.79 |
1.85 |
1.79 |
1.64 |
1.80 |
1.78 |
94 |
0.07 |
3.98 |
0.22 |
|
PFHpS* |
1.91 |
1.90 |
1.90 |
1.86 |
1.65 |
1.92 |
1.51 |
1.73 |
1.78 |
93 |
0.16 |
8.79 |
0.49 |
|
6:2 FTSA* |
1.90 |
1.80 |
1.87 |
1.88 |
1.86 |
1.87 |
1.68 |
1.86 |
1.83 |
96 |
0.07 |
4.02 |
0.23 |
|
PFOA |
2.00 |
1.80 |
1.86 |
1.93 |
1.91 |
1.94 |
1.67 |
1.94 |
1.86 |
93 |
0.10 |
5.34 |
0.31 |
|
PFOS* |
1.92 |
1.96 |
1.89 |
1.79 |
1.89 |
1.92 |
1.69 |
1.89 |
1.86 |
97 |
0.09 |
4.98 |
0.29 |
|
PFNA |
2.00 |
1.88 |
1.92 |
1.95 |
1.90 |
1.94 |
1.79 |
2.07 |
1.92 |
96 |
0.08 |
4.30 |
0.26 |
|
8:2 FTUCA |
2.00 |
1.93 |
1.87 |
1.90 |
1.95 |
2.05 |
1.89 |
1.97 |
1.94 |
97 |
0.06 |
3.15 |
0.19 |
|
PFDA |
2.00 |
1.87 |
1.89 |
1.87 |
1.83 |
2.01 |
1.79 |
2.01 |
1.89 |
95 |
0.09 |
4.55 |
0.27 |
|
9Cl-PF3ONS* |
1.87 |
1.75 |
1.71 |
1.76 |
1.73 |
1.74 |
1.53 |
1.75 |
1.71 |
92 |
0.08 |
4.72 |
0.25 |
|
8:2 FTSA* |
1.92 |
1.73 |
1.83 |
1.72 |
1.77 |
1.90 |
1.70 |
2.10 |
1.82 |
95 |
0.14 |
7.93 |
0.45 |
|
N-MeFOSAA |
2.00 |
1.83 |
1.90 |
1.92 |
1.81 |
1.94 |
1.76 |
2.02 |
1.88 |
94 |
0.09 |
4.80 |
0.28 |
|
FOSA |
2.00 |
2.09 |
2.06 |
2.12 |
1.97 |
2.16 |
1.98 |
2.28 |
2.09 |
105 |
0.11 |
5.17 |
0.34 |
|
PFDS |
2.00 |
2.10 |
2.06 |
1.95 |
2.14 |
1.70 |
1.64 |
1.93 |
1.93 |
97 |
0.19 |
9.98 |
0.61 |
|
PFUnDA |
2.00 |
1.89 |
1.91 |
1.90 |
1.81 |
1.88 |
1.75 |
1.94 |
1.87 |
93 |
0.07 |
3.51 |
0.21 |
|
N-EtFOSAA |
2.00 |
2.04 |
1.86 |
2.00 |
1.98 |
1.99 |
1.73 |
1.94 |
1.93 |
97 |
0.11 |
5.44 |
0.33 |
|
PFDoDA |
2.00 |
1.85 |
1.96 |
1.96 |
1.81 |
2.00 |
1.75 |
1.96 |
1.90 |
95 |
0.10 |
5.04 |
0.30 |
|
PFTrDA |
2.00 |
1.79 |
1.85 |
1.87 |
1.98 |
2.02 |
1.75 |
2.04 |
1.90 |
95 |
0.11 |
5.89 |
0.35 |
|
N-MeFOSA |
2.00 |
2.17 |
2.14 |
2.01 |
1.94 |
2.36 |
2.04 |
2.34 |
2.14 |
107 |
0.16 |
7.50 |
0.51 |
|
N-EtFOSA |
2.00 |
1.99 |
1.97 |
2.06 |
2.11 |
2.09 |
1.99 |
2.03 |
2.03 |
102 |
0.05 |
2.59 |
0.17 |
|
PFTeDA |
2.00 |
1.79 |
1.82 |
1.91 |
1.85 |
1.89 |
1.83 |
1.86 |
1.85 |
93 |
0.04 |
2.12 |
0.12 |
|
PFHxDA |
2.00 |
1.95 |
1.94 |
1.93 |
1.99 |
1.95 |
1.89 |
2.07 |
1.96 |
98 |
0.06 |
2.81 |
0.17 |
|
8:2 diPAP* |
1.96 |
1.79 |
1.85 |
2.00 |
1.90 |
1.78 |
1.78 |
2.16 |
1.90 |
97 |
0.14 |
7.51 |
0.45 |
|
PFOcDA |
2.00 |
1.71 |
1.88 |
2.07 |
1.60 |
1.71 |
1.64 |
1.75 |
1.77 |
88 |
0.16 |
9.18 |
0.51 |
*Analytes were used in salt form and calculated concentrations were corrected to compensate where needed.
MRL and DL Recoveries for EVOLUTE® PFAS 150 mg/6 mL cartridges.
|
|
Conc. (ng/L) |
1 (ng/L) |
2 (ng/L) |
3 (ng/L) |
4 (ng/L) |
5 (ng/L) |
6 (ng/L) |
7 (ng/L) |
8 (ng/L) |
x̅ (ng/L) |
x̅ (%) |
s (ng/L) |
CV (%) |
DL (ng/L) |
|
PFBA* |
1.77 |
1.88 |
1.83 |
1.87 |
1.94 |
1.83 |
1.86 |
1.79 |
1.83 |
1.85 |
104 |
0.05 |
2.56 |
0.14 |
|
PFPeA |
2.00 |
1.96 |
1.92 |
1.96 |
2.05 |
1.97 |
1.93 |
1.86 |
1.96 |
1.95 |
98 |
0.05 |
2.79 |
0.16 |
|
PFBS |
2.00 |
1.87 |
1.76 |
1.84 |
1.73 |
1.77 |
1.81 |
1.73 |
1.75 |
1.78 |
89 |
0.05 |
2.83 |
0.15 |
|
PFHxA |
2.00 |
2.09 |
2.00 |
2.04 |
2.10 |
2.03 |
2.09 |
1.98 |
2.08 |
2.05 |
103 |
0.05 |
2.20 |
0.14 |
|
HFPO-DA |
2.00 |
1.97 |
1.92 |
1.82 |
1.92 |
1.89 |
2.14 |
2.16 |
2.17 |
2.00 |
100 |
0.14 |
6.92 |
0.41 |
|
PFHpA |
2.00 |
2.08 |
1.96 |
1.98 |
1.91 |
2.04 |
1.95 |
2.01 |
2.01 |
1.99 |
100 |
0.06 |
2.76 |
0.17 |
|
PFHxS* |
1.90 |
1.75 |
1.83 |
1.80 |
1.85 |
1.66 |
1.74 |
1.77 |
1.74 |
1.77 |
93 |
0.06 |
3.34 |
0.18 |
|
DONA* |
1.89 |
1.98 |
1.90 |
1.96 |
1.96 |
1.93 |
1.84 |
1.96 |
1.90 |
1.93 |
102 |
0.05 |
2.35 |
0.14 |
|
PFHpS* |
1.91 |
1.77 |
1.78 |
1.85 |
1.79 |
1.64 |
1.66 |
1.69 |
1.64 |
1.73 |
91 |
0.08 |
4.69 |
0.24 |
|
6:2 FTSA* |
1.90 |
1.91 |
1.84 |
1.97 |
1.92 |
2.05 |
2.06 |
2.01 |
2.11 |
1.98 |
104 |
0.09 |
4.58 |
0.27 |
|
PFOA |
2.00 |
1.96 |
1.99 |
2.01 |
2.08 |
1.97 |
2.05 |
1.91 |
1.97 |
1.99 |
100 |
0.05 |
2.59 |
0.15 |
|
PFOS* |
1.92 |
2.00 |
1.89 |
1.93 |
2.01 |
1.95 |
1.95 |
1.98 |
1.96 |
1.96 |
102 |
0.04 |
1.99 |
0.12 |
|
PFNA |
2.00 |
2.08 |
1.94 |
2.02 |
2.01 |
2.04 |
2.08 |
2.11 |
2.02 |
2.03 |
102 |
0.05 |
2.59 |
0.16 |
|
8:2 FTUCA |
2.00 |
1.93 |
1.92 |
1.97 |
1.95 |
1.94 |
1.98 |
1.95 |
1.98 |
1.95 |
98 |
0.02 |
1.17 |
0.07 |
|
PFDA |
2.00 |
1.99 |
1.89 |
1.96 |
1.99 |
1.91 |
2.03 |
2.07 |
2.04 |
1.98 |
99 |
0.06 |
3.12 |
0.19 |
|
9Cl-PF3ONS* |
1.87 |
1.96 |
1.92 |
1.91 |
1.97 |
1.86 |
1.84 |
1.83 |
1.92 |
1.90 |
102 |
0.05 |
2.68 |
0.15 |
|
8:2 FTSA* |
1.92 |
1.92 |
1.93 |
2.01 |
1.99 |
1.90 |
1.84 |
1.88 |
1.97 |
1.93 |
101 |
0.06 |
3.06 |
0.18 |
|
N-MeFOSAA |
2.00 |
1.85 |
1.84 |
1.84 |
1.85 |
1.91 |
2.00 |
2.03 |
2.06 |
1.92 |
96 |
0.09 |
4.87 |
0.28 |
|
FOSA |
2.00 |
1.96 |
2.00 |
1.99 |
2.12 |
2.16 |
2.20 |
2.16 |
2.15 |
2.09 |
105 |
0.09 |
4.49 |
0.28 |
|
PFDS |
2.00 |
1.92 |
2.08 |
1.81 |
2.04 |
2.01 |
1.93 |
2.04 |
1.90 |
1.97 |
98 |
0.09 |
4.61 |
0.27 |
|
PFUnDA |
2.00 |
2.09 |
1.97 |
1.93 |
1.95 |
1.89 |
1.97 |
1.95 |
1.98 |
1.97 |
98 |
0.06 |
2.94 |
0.17 |
|
N-EtFOSAA |
2.00 |
1.86 |
1.93 |
1.98 |
1.98 |
1.96 |
2.16 |
2.10 |
2.02 |
2.00 |
100 |
0.09 |
4.68 |
0.28 |
|
PFDoDA |
2.00 |
2.08 |
1.91 |
2.02 |
2.05 |
2.02 |
2.03 |
2.04 |
2.04 |
2.02 |
101 |
0.05 |
2.52 |
0.15 |
|
PFTrDA |
2.00 |
2.01 |
1.93 |
1.85 |
1.99 |
1.94 |
2.06 |
1.98 |
1.99 |
1.97 |
98 |
0.06 |
3.21 |
0.19 |
|
N-MeFOSA |
2.00 |
2.01 |
2.13 |
2.03 |
1.93 |
2.13 |
2.18 |
1.96 |
2.02 |
2.05 |
102 |
0.09 |
4.37 |
0.27 |
|
N-EtFOSA |
2.00 |
1.86 |
2.10 |
1.88 |
2.27 |
1.91 |
2.16 |
2.05 |
2.13 |
2.04 |
102 |
0.15 |
7.30 |
0.45 |
|
PFTeDA |
2.00 |
2.07 |
2.03 |
1.91 |
2.03 |
1.98 |
1.99 |
2.13 |
2.05 |
2.02 |
101 |
0.06 |
3.17 |
0.19 |
|
PFHxDA |
2.00 |
2.01 |
1.91 |
1.81 |
2.08 |
2.05 |
1.95 |
2.02 |
2.03 |
1.98 |
99 |
0.09 |
4.43 |
0.26 |
|
8:2 diPAP* |
1.96 |
2.05 |
2.03 |
2.03 |
2.06 |
2.05 |
2.11 |
1.78 |
1.94 |
2.01 |
103 |
0.10 |
5.12 |
0.31 |
|
PFOcDA |
2.00 |
1.99 |
2.32 |
2.39 |
2.06 |
2.07 |
2.11 |
2.00 |
2.02 |
2.12 |
106 |
0.15 |
7.13 |
0.45 |
*Analytes were used in salt form and calculated concentrations were corrected to compensate where needed.
Appendix E
PFAS background study
Results of PFAS Background Study for EVOLUTE® PFAS 500 mg/6 mL cartridges (recoveries in ng/L).
|
TurboVap® LV |
Laboratory Reagent Blanks |
|||||||||||
|
Replicate |
1 |
2 |
3 |
4 |
5 |
6 |
7 |
8 |
1 |
2 |
3 |
4 |
|
PFBA* |
0.00 |
0.00 |
0.00 |
0.00 |
0.00 |
0.10 |
0.05 |
0.04 |
0.09 |
0.06 |
0.06 |
0.06 |
|
PFPeA |
0.02 |
0.03 |
0.03 |
0.03 |
0.03 |
0.06 |
0.02 |
0.03 |
0.04 |
0.04 |
0.02 |
0.04 |
|
PFBS |
0.01 |
0.00 |
0.00 |
0.00 |
0.01 |
0.00 |
0.01 |
0.01 |
0.00 |
0.00 |
0.00 |
0.06 |
|
PFHxA |
0.01 |
0.02 |
0.00 |
0.01 |
0.00 |
0.02 |
0.01 |
0.02 |
0.02 |
0.02 |
0.02 |
0.02 |
|
HFPO-DA |
0.00 |
0.00 |
0.00 |
0.00 |
0.00 |
0.00 |
0.00 |
0.00 |
0.00 |
0.00 |
0.00 |
0.00 |
|
PFHpA |
0.00 |
0.00 |
0.00 |
0.00 |
0.00 |
0.00 |
0.00 |
0.00 |
0.00 |
0.00 |
0.00 |
0.00 |
|
PFHxS* |
0.00 |
0.00 |
0.00 |
0.00 |
0.00 |
0.00 |
0.00 |
0.01 |
0.00 |
0.01 |
0.01 |
0.01 |
|
DONA* |
0.00 |
0.00 |
0.00 |
0.00 |
0.00 |
0.00 |
0.00 |
0.00 |
0.00 |
0.00 |
0.01 |
0.00 |
|
PFHpS* |
0.00 |
0.02 |
0.00 |
0.00 |
0.00 |
0.00 |
0.00 |
0.00 |
0.00 |
0.00 |
0.00 |
0.00 |
|
6:2 FTSA* |
0.02 |
0.00 |
0.00 |
0.00 |
0.00 |
0.00 |
0.00 |
0.01 |
0.05 |
0.06 |
0.07 |
0.07 |
|
PFOA |
0.02 |
0.00 |
0.00 |
0.00 |
0.03 |
0.00 |
0.01 |
0.00 |
0.00 |
0.00 |
0.00 |
0.00 |
|
PFOS* |
0.00 |
0.00 |
0.00 |
0.00 |
0.03 |
0.00 |
0.00 |
0.02 |
0.01 |
0.02 |
0.01 |
0.01 |
|
PFNA |
0.00 |
0.00 |
0.00 |
0.01 |
0.00 |
0.00 |
0.00 |
0.00 |
0.02 |
0.00 |
0.01 |
0.00 |
|
8:2 FTUCA |
0.00 |
0.00 |
0.00 |
0.00 |
0.00 |
0.00 |
0.00 |
0.00 |
0.01 |
0.01 |
0.00 |
0.00 |
|
PFDA |
0.00 |
0.00 |
0.00 |
0.00 |
0.00 |
0.00 |
0.00 |
0.02 |
0.00 |
0.00 |
0.00 |
0.00 |
|
9Cl-PF3ONS* |
0.00 |
0.00 |
0.00 |
0.00 |
0.00 |
0.00 |
0.00 |
0.01 |
0.01 |
0.00 |
0.00 |
0.00 |
|
8:2 FTSA* |
0.00 |
0.00 |
0.00 |
0.00 |
0.00 |
0.00 |
0.00 |
0.00 |
0.00 |
0.00 |
0.00 |
0.00 |
|
N-MeFOSAA |
0.00 |
0.00 |
0.00 |
0.00 |
0.00 |
0.00 |
0.00 |
0.00 |
0.00 |
0.00 |
0.00 |
0.00 |
|
FOSA |
0.00 |
0.01 |
0.00 |
0.00 |
0.00 |
0.01 |
0.00 |
0.01 |
0.00 |
0.00 |
0.00 |
0.01 |
|
PFDS |
0.00 |
0.00 |
0.00 |
0.00 |
0.00 |
0.00 |
0.00 |
0.00 |
0.00 |
0.00 |
0.00 |
0.00 |
|
PFUnDA |
0.00 |
0.00 |
0.00 |
0.00 |
0.00 |
0.00 |
0.00 |
0.00 |
0.00 |
0.00 |
0.00 |
0.00 |
|
N-EtFOSAA |
0.00 |
0.00 |
0.00 |
0.00 |
0.00 |
0.00 |
0.00 |
0.00 |
0.00 |
0.00 |
0.00 |
0.00 |
|
PFDoDA |
0.00 |
0.00 |
0.00 |
0.00 |
0.00 |
0.00 |
0.00 |
0.00 |
0.00 |
0.00 |
0.00 |
0.00 |
|
PFTrDA |
0.00 |
0.00 |
0.00 |
0.00 |
0.00 |
0.00 |
0.00 |
0.00 |
0.00 |
0.00 |
0.00 |
0.00 |
|
N-MeFOSA |
0.02 |
0.00 |
0.00 |
0.00 |
0.00 |
0.01 |
0.00 |
0.00 |
0.00 |
0.07 |
0.07 |
0.00 |
|
N-EtFOSA |
0.00 |
0.00 |
0.00 |
0.00 |
0.00 |
0.00 |
0.00 |
0.00 |
0.00 |
0.00 |
0.00 |
0.00 |
|
PFTeDA |
0.00 |
0.00 |
0.00 |
0.00 |
0.00 |
0.00 |
0.00 |
0.00 |
0.00 |
0.00 |
0.00 |
0.00 |
|
PFHxDA |
0.10 |
0.04 |
0.00 |
0.00 |
0.08 |
0.12 |
0.07 |
0.11 |
0.00 |
0.00 |
0.00 |
0.00 |
|
8:2 diPAP* |
0.00 |
0.00 |
0.00 |
0.00 |
0.00 |
0.00 |
0.00 |
0.00 |
0.00 |
0.00 |
0.00 |
0.00 |
|
PFOcDA |
0.00 |
0.00 |
0.00 |
0.00 |
0.00 |
0.00 |
0.00 |
0.00 |
0.00 |
0.00 |
0.00 |
0.00 |
*Analytes were used in salt form and calculated concentrations were corrected to compensate where needed.
Results of PFAS Background Study for EVOLUTE® PFAS 150 mg/6 mL cartridges (recoveries in ng/L).
|
TurboVap® LV |
Laboratory Reagent Blanks |
|||||||
|
Replicate |
1 |
2 |
3 |
4 |
1 |
2 |
3 |
4 |
|
PFBA* |
0.06 |
0.02 |
0.01 |
0.00 |
0.11 |
0.09 |
0.09 |
0.10 |
|
PFPeA |
0.03 |
0.03 |
0.03 |
0.02 |
0.05 |
0.06 |
0.04 |
0.04 |
|
PFBS |
0.01 |
0.01 |
0.00 |
0.00 |
0.00 |
0.01 |
0.01 |
0.01 |
|
PFHxA |
0.02 |
0.02 |
0.01 |
0.00 |
0.03 |
0.03 |
0.02 |
0.02 |
|
HFPO-DA |
0.00 |
0.00 |
0.00 |
0.00 |
0.00 |
0.00 |
0.00 |
0.00 |
|
PFHpA |
0.00 |
0.00 |
0.00 |
0.00 |
0.00 |
0.00 |
0.00 |
0.00 |
|
PFHxS* |
0.01 |
0.01 |
0.00 |
0.00 |
0.01 |
0.01 |
0.01 |
0.01 |
|
DONA* |
0.01 |
0.00 |
0.00 |
0.00 |
0.01 |
0.01 |
0.01 |
0.00 |
|
PFHpS* |
0.00 |
0.00 |
0.00 |
0.00 |
0.00 |
0.00 |
0.00 |
0.00 |
|
6:2 FTSA* |
0.01 |
0.00 |
0.00 |
0.00 |
0.03 |
0.03 |
0.04 |
0.02 |
|
PFOA |
0.00 |
0.02 |
0.03 |
0.00 |
0.00 |
0.00 |
0.05 |
0.00 |
|
PFOS* |
0.00 |
0.00 |
0.01 |
0.01 |
0.00 |
0.00 |
0.00 |
0.00 |
|
PFNA |
0.00 |
0.01 |
0.00 |
0.00 |
0.00 |
0.00 |
0.01 |
0.00 |
|
8:2 FTUCA |
0.01 |
0.00 |
0.00 |
0.01 |
0.01 |
0.01 |
0.00 |
0.00 |
|
PFDA |
0.00 |
0.02 |
0.00 |
0.00 |
0.00 |
0.00 |
0.00 |
0.02 |
|
9Cl-PF3ONS* |
0.00 |
0.00 |
0.00 |
0.00 |
0.00 |
0.00 |
0.01 |
0.01 |
|
8:2 FTSA* |
0.00 |
0.00 |
0.00 |
0.00 |
0.00 |
0.00 |
0.00 |
0.00 |
|
N-MeFOSAA |
0.00 |
0.00 |
0.00 |
0.00 |
0.02 |
0.00 |
0.03 |
0.02 |
|
FOSA |
0.00 |
0.01 |
0.00 |
0.00 |
0.01 |
0.00 |
0.01 |
0.01 |
|
PFDS |
0.00 |
0.00 |
0.01 |
0.00 |
0.00 |
0.00 |
0.00 |
0.00 |
|
PFUnDA |
0.00 |
0.00 |
0.00 |
0.00 |
0.02 |
0.00 |
0.00 |
0.00 |
|
N-EtFOSAA |
0.00 |
0.00 |
0.00 |
0.00 |
0.00 |
0.00 |
0.00 |
0.00 |
|
PFDoDA |
0.00 |
0.06 |
0.00 |
0.00 |
0.00 |
0.00 |
0.00 |
0.00 |
|
PFTrDA |
0.00 |
0.05 |
0.00 |
0.00 |
0.00 |
0.00 |
0.00 |
0.00 |
|
N-MeFOSA |
0.00 |
0.00 |
0.00 |
0.02 |
0.00 |
0.00 |
0.00 |
0.05 |
|
N-EtFOSA |
0.00 |
0.00 |
0.00 |
0.00 |
0.00 |
0.00 |
0.00 |
0.00 |
|
PFTeDA |
0.00 |
0.00 |
0.00 |
0.00 |
0.00 |
0.00 |
0.00 |
0.00 |
|
PFHxDA |
0.07 |
0.08 |
0.08 |
0.06 |
0.08 |
0.08 |
0.12 |
0.07 |
|
8:2 diPAP* |
0.00 |
0.01 |
0.00 |
0.00 |
0.00 |
0.00 |
0.00 |
0.00 |
|
PFOcDA |
0.00 |
0.00 |
0.00 |
0.00 |
0.00 |
0.00 |
0.00 |
0.00 |
*Analytes were used in salt form and calculated concentrations were corrected to compensate where needed.
Appendix F
IDP and IDA data
Results of IDP and IDA for EVOLUTE® PFAS 500 mg/6 mL cartridges (15 ng/L, n=4).
|
Replicate |
1 (%) |
2 (%) |
3 (%) |
4 (%) |
x̅ (%) |
s (%) |
CV (%) |
|
PFBA* |
93.97 |
93.52 |
97.66 |
94.56 |
94.93 |
1.87 |
1.97 |
|
PFPeA |
91.10 |
99.84 |
99.34 |
92.16 |
95.61 |
4.62 |
4.83 |
|
PFBS |
88.73 |
88.20 |
91.76 |
86.48 |
88.79 |
2.20 |
2.47 |
|
PFHxA |
94.83 |
95.12 |
99.13 |
95.85 |
96.23 |
1.98 |
2.06 |
|
HFPO-DA |
88.53 |
89.13 |
99.41 |
92.60 |
92.42 |
4.99 |
5.40 |
|
PFHpA |
104.38 |
106.43 |
104.54 |
106.18 |
105.38 |
1.07 |
1.02 |
|
PFHxS* |
95.20 |
99.75 |
101.57 |
95.96 |
98.12 |
3.04 |
3.10 |
|
DONA* |
102.56 |
111.10 |
108.04 |
107.16 |
107.22 |
3.53 |
3.30 |
|
PFHpS* |
89.31 |
87.18 |
98.22 |
79.57 |
88.57 |
7.67 |
8.66 |
|
6:2 FTSA* |
96.43 |
102.56 |
100.83 |
101.53 |
100.34 |
2.70 |
2.69 |
|
PFOA |
94.28 |
94.77 |
96.59 |
92.79 |
94.61 |
1.56 |
1.65 |
|
PFOS* |
91.58 |
93.17 |
98.48 |
89.66 |
93.22 |
3.79 |
4.06 |
|
PFNA |
93.76 |
98.27 |
100.96 |
96.89 |
97.47 |
2.99 |
3.07 |
|
8:2 FTUCA |
95.54 |
99.14 |
95.99 |
95.27 |
96.49 |
1.79 |
1.86 |
|
PFDA |
96.19 |
91.59 |
101.20 |
100.51 |
97.38 |
4.45 |
4.57 |
|
9Cl-PF3ONS* |
94.73 |
93.29 |
104.59 |
90.45 |
95.76 |
6.15 |
6.42 |
|
8:2 FTSA* |
87.94 |
97.85 |
90.95 |
98.83 |
93.89 |
5.30 |
5.64 |
|
N-MeFOSAA |
102.65 |
101.19 |
100.15 |
94.75 |
99.68 |
3.44 |
3.45 |
|
FOSA |
106.21 |
102.48 |
110.06 |
100.99 |
104.94 |
4.06 |
3.87 |
|
PFDS |
96.50 |
102.88 |
108.47 |
98.56 |
101.60 |
5.29 |
5.21 |
|
PFUnDA |
88.89 |
85.05 |
87.96 |
90.74 |
88.16 |
2.37 |
2.69 |
|
N-EtFOSAA |
97.35 |
101.86 |
99.64 |
94.11 |
98.24 |
3.31 |
3.37 |
|
PFDoDA |
96.65 |
99.00 |
102.74 |
98.79 |
99.30 |
2.53 |
2.55 |
|
PFTrDA |
104.99 |
91.30 |
96.05 |
98.68 |
97.76 |
5.71 |
5.84 |
|
N-MeFOSA |
103.38 |
114.84 |
108.73 |
99.89 |
106.71 |
6.53 |
6.12 |
|
N-EtFOSA |
103.01 |
111.52 |
107.20 |
103.88 |
106.40 |
3.86 |
3.63 |
|
PFTeDA |
92.57 |
95.31 |
96.88 |
94.10 |
94.71 |
1.83 |
1.93 |
|
PFHxDA |
90.55 |
89.61 |
92.53 |
94.89 |
91.89 |
2.34 |
2.54 |
|
8:2 diPAP* |
92.57 |
99.94 |
98.71 |
96.49 |
96.93 |
3.24 |
3.34 |
|
PFOcDA |
104.86 |
101.06 |
106.48 |
97.58 |
102.49 |
3.99 |
3.89 |
Analytes were used in salt form and calculated concentrations were corrected to compensate where needed.
Results of IDP and IDA for EVOLUTE® PFAS 150 mg/6 mL cartridges (15 ng/L, n=4).
|
Replicate |
1 (%) |
2 (%) |
3 (%) |
4 (%) |
x̅ (%) |
s (%) |
CV (%) |
|
PFBA* |
102.37 |
101.69 |
101.80 |
103.26 |
102.28 |
0.72 |
0.70 |
|
PFPeA |
101.89 |
102.16 |
101.32 |
100.30 |
101.42 |
0.82 |
0.81 |
|
PFBS |
99.30 |
102.15 |
99.56 |
102.63 |
100.91 |
1.72 |
1.71 |
|
PFHxA |
100.58 |
103.25 |
99.56 |
100.27 |
100.92 |
1.61 |
1.60 |
|
HFPO-DA |
96.01 |
95.99 |
99.76 |
93.05 |
96.20 |
2.75 |
2.86 |
|
PFHpA |
102.78 |
102.88 |
102.64 |
102.10 |
102.60 |
0.35 |
0.34 |
|
PFHxS* |
97.07 |
98.52 |
98.87 |
97.40 |
97.96 |
0.86 |
0.88 |
|
DONA* |
102.74 |
104.41 |
102.11 |
103.16 |
103.11 |
0.97 |
0.94 |
|
PFHpS* |
91.57 |
92.08 |
90.92 |
93.18 |
91.94 |
0.95 |
1.04 |
|
6:2 FTSA* |
99.40 |
99.12 |
104.89 |
102.46 |
101.47 |
2.74 |
2.70 |
|
PFOA |
104.83 |
105.70 |
104.59 |
106.65 |
105.44 |
0.94 |
0.89 |
|
PFOS* |
101.18 |
103.31 |
101.24 |
102.55 |
102.07 |
1.04 |
1.02 |
|
PFNA |
102.52 |
103.28 |
101.34 |
101.57 |
102.18 |
0.90 |
0.88 |
|
8:2 FTUCA |
98.30 |
100.36 |
102.72 |
101.33 |
100.68 |
1.86 |
1.84 |
|
PFDA |
102.85 |
104.63 |
101.29 |
103.65 |
103.10 |
1.41 |
1.37 |
|
9Cl-PF3ONS* |
106.62 |
106.89 |
104.87 |
103.91 |
105.57 |
1.42 |
1.35 |
|
8:2 FTSA* |
100.77 |
102.18 |
104.64 |
100.22 |
101.95 |
1.97 |
1.93 |
|
N-MeFOSAA |
103.10 |
103.15 |
103.09 |
105.71 |
103.76 |
1.30 |
1.25 |
|
FOSA |
103.88 |
101.39 |
103.04 |
101.42 |
102.43 |
1.23 |
1.20 |
|
PFDS |
105.46 |
102.18 |
103.54 |
106.38 |
104.39 |
1.89 |
1.81 |
|
PFUnDA |
98.55 |
97.67 |
97.27 |
98.90 |
98.10 |
0.76 |
0.77 |
|
N-EtFOSAA |
101.28 |
102.59 |
103.05 |
103.63 |
102.64 |
1.00 |
0.97 |
|
PFDoDA |
105.74 |
103.29 |
103.54 |
105.36 |
104.48 |
1.25 |
1.19 |
|
PFTrDA |
103.97 |
103.44 |
104.62 |
100.69 |
103.18 |
1.73 |
1.67 |
|
N-MeFOSA |
95.71 |
101.62 |
105.13 |
103.48 |
101.48 |
4.11 |
4.05 |
|
N-EtFOSA |
100.27 |
105.18 |
104.36 |
98.73 |
102.14 |
3.12 |
3.06 |
|
PFTeDA |
102.22 |
102.79 |
101.51 |
101.23 |
101.94 |
0.71 |
0.69 |
|
PFHxDA |
98.11 |
100.02 |
100.23 |
99.48 |
99.46 |
0.95 |
0.96 |
|
8:2 diPAP* |
102.35 |
99.99 |
98.16 |
101.37 |
100.47 |
1.82 |
1.81 |
|
PFOcDA |
106.66 |
107.30 |
101.64 |
101.58 |
104.30 |
3.11 |
2.99 |
*Analytes were used in salt form and calculated concentrations were corrected to compensate where needed.
Appendix G
Carryover data
Results of carryover study following four, 50 ng/L LFB samples using EVOLUTE® PFAS 500 mg/6 mL cartridges.
|
Replicate |
1 (ng/L) |
2 (ng/L) |
3 (ng/L) |
4 (ng/L) |
x̅ (ng/L) |
|
PFBA* |
0.11 |
0.09 |
0.09 |
0.09 |
0.09 |
|
PFPeA |
0.04 |
0.04 |
0.04 |
0.04 |
0.04 |
|
PFBS |
0.02 |
0.01 |
0.02 |
0.01 |
0.02 |
|
PFHxA |
0.02 |
0.02 |
0.03 |
0.03 |
0.03 |
|
HFPO-DA |
0.00 |
0.00 |
0.00 |
0.00 |
0.00 |
|
PFHpA |
0.00 |
0.00 |
0.00 |
0.00 |
0.00 |
|
PFHxS* |
0.02 |
0.00 |
0.02 |
0.01 |
0.01 |
|
DONA* |
0.00 |
0.01 |
0.01 |
0.00 |
0.00 |
|
PFHpS* |
0.00 |
0.00 |
0.00 |
0.00 |
0.00 |
|
6:2 FTSA* |
0.04 |
0.04 |
0.04 |
0.04 |
0.04 |
|
PFOA |
0.09 |
0.04 |
0.07 |
0.00 |
0.05 |
|
PFOS* |
0.04 |
0.03 |
0.04 |
0.04 |
0.04 |
|
PFNA |
0.00 |
0.00 |
0.00 |
0.00 |
0.00 |
|
8:2 FTUCA |
0.02 |
0.01 |
0.03 |
0.04 |
0.03 |
|
PFDA |
0.02 |
0.02 |
0.02 |
0.02 |
0.02 |
|
9Cl-PF3ONS* |
0.01 |
0.00 |
0.02 |
0.01 |
0.01 |
|
8:2 FTSA* |
0.00 |
0.00 |
0.00 |
0.00 |
0.00 |
|
N-MeFOSAA |
0.08 |
0.12 |
0.14 |
0.11 |
0.11 |
|
FOSA |
0.03 |
0.02 |
0.02 |
0.03 |
0.03 |
|
PFDS |
0.03 |
0.00 |
0.00 |
0.00 |
0.01 |
|
PFUnDA |
0.00 |
0.00 |
0.03 |
0.01 |
0.01 |
|
N-EtFOSAA |
0.07 |
0.09 |
0.08 |
0.10 |
0.09 |
|
PFDoDA |
0.00 |
0.00 |
0.00 |
0.00 |
0.00 |
|
PFTrDA |
0.00 |
0.00 |
0.03 |
0.00 |
0.01 |
|
N-MeFOSA |
0.21 |
0.21 |
0.17 |
0.27 |
0.22 |
|
N-EtFOSA |
0.16 |
0.17 |
0.15 |
0.18 |
0.17 |
|
PFTeDA |
0.00 |
0.00 |
0.00 |
0.00 |
0.00 |
|
PFHxDA |
0.07 |
0.12 |
0.13 |
0.07 |
0.10 |
|
8:2 diPAP* |
0.00 |
0.00 |
0.05 |
0.08 |
0.03 |
|
PFOcDA |
0.00 |
0.00 |
0.00 |
0.00 |
0.00 |
*Analytes were used in salt form and calculated concentrations were corrected to compensate where needed.
Literature number: AN967
Published: Dec 6, 2025 7:15:01 AM