Dec 6, 2025 12:30:00 AM
Current methodologies for drugs of abuse urine testing, part 2
By Admin
Abstract
Analysis of drug panels in urine samples can be challenging, and the trend towards larger panels including multiple drug classes compounds the issues faced during method development. This white paper examines a number of aspects of sample preparation, and their impact on the success of subsequent LC-MS/MS analysis of broad urine panels.
This section examines the impact of various parameters (interference wash strength, elution solvent composition) on analyte retention, elution and extract cleanliness with particular focus on zwitterionic (gabapentin, pregabalin) and non-ionic (carisoprodol, meprobamate) drugs.
Introduction: Multivariate intermolecular properties analysed by polymeric mixed-mode cation exchange SPE (focus on Pregabalin, Gabapentin, Carisoprodol and Meprobamate)
With prescription abuse rising concomitantly with licit pain management, the need to expand a wider degree of drug monitoring within a single method has been increasingly sought after. With the incidence or prevalence of drug abuse typically confined to various classes of opioids, benzodiazepines, cannabinoids, and amphetamines, the opportunity to isolate and identify analytes within these classes becomes straightforward. This is in part due to the high degree of structural homology within each respective Drug of Abuse (DOA) class. Although subtle dissimilar intermolecular traits can offer remarkably different analgesic, anxiolytic or other off-label effects, their similarities often provide an opportunity for their isolation via pH adjustment through common functional groups such as amines (opioids and stimulants) or imines (benzodiazepines).
In this study, we investigate this approach for the anticonvulsants pregabalin and gabapentin, along with two carbamate drugs: carisoprodol and meprobamate, as these analytes are often problematic in large urine panels.
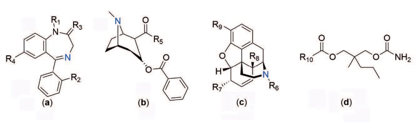
Structures of drug classes
Solid Phase Extraction (SPE) functionalized with cation exchange provides clinicians with an opportunity to isolate compounds with imines or primary, secondary, and tertiary amines with robust analyses (Figure 1a–c). However, other DOA classes lack these functional groups and remain pH insensitive, e.g. carisoprodol and meprobamate (Figure 1–d). As a result, separate methods are necessary, which can increase turnaround time for clinicians and pain management facilities. Increasing the scope of diagnostic panels to include the array of both licit and illicit DOAs has become difficult as not all drug classes are capable of isolation and detection using the same workup method.
To work around this, alternative methods are sometimes used to directly analyse patient specimens with minimal sample clean up. While such procedures can be effective, they compromise sample cleanliness, with consequences on instrument downtime and data quality.

Figure 1. General scheme illustrating various generalized drug classes: benzodiazepines (a), stimulants (b), opioids (c), and carbamates (d). R-groups represent moieties that vary within each drug class.
|
Compound ID |
Quant (m/z) |
Qual (m/z) |
Retention Time (min) |
DP (V) |
EP (V) |
CE (V) |
CXP (V) |
|
6-AM |
328.1 > 165.2 |
211.2 |
2.68 |
30 |
10 |
60/30 |
10 |
|
7-aminoclonazepam |
328.1 > 121.2 |
222.2 |
3.66 |
30 |
10 |
50/30 |
12 |
|
alpha-hydroxyalprazolam |
325.1 > 297.0 |
216.1 |
5.03 |
30 |
10 |
40/60 |
12 |
|
Alprazolam |
309.1 > 281.1 |
205.1 |
5.10 |
30 |
10 |
40/60 |
12 |
|
Amitriptyline |
278.1 > 105.1 |
202.2 |
4.51 |
30 |
10 |
50/70 |
12 |
|
Amphetamine |
136.1 > 119.0 |
91.0 |
2.42 |
30 |
10 |
20/20 |
12 |
|
Benzoylecgonine |
290.2 >168.1 |
105.0 |
3.68 |
30 |
10 |
30/50 |
12 |
|
Buprenorphine |
468.3 > 396.2 |
414.2 |
4.12 |
50/100 |
10 |
60/50 |
10 |
|
Carisoprodol |
261.2 > 97.2 |
176.2 |
4.71 |
30 |
10 |
20/10 |
12 |
|
Codeine |
300.1 >152.1 |
115.1 |
2.48 |
30 |
10 |
70/80 |
14 |
|
Methamphetamine |
150.1 > 91.2 |
119.2 |
2.62 |
30 |
10 |
20/10 |
12 |
|
Phencyclidine (PCP) |
244.3 > 91.0 |
159.3 |
4.00 |
30 |
10 |
60/20 |
12 |
|
Pregabalin |
160.2 >142.2 |
55.0 |
2.29 |
20 |
10 |
15/35 |
10 |
|
Ritalinic Acid |
220.1 > 84.1 |
56.1 |
3.30 |
30 |
10 |
50/60 |
12 |
|
EDDP |
278.3 > 234.2 |
186.2 |
4.28 |
30 |
10 |
40/50 |
14 |
|
Fentanyl |
337.2 > 105.1 |
188.1 |
4.06 |
50 |
10 |
50/40 |
10 |
|
Gabapentin |
172.1 > 137.1 |
154.1 |
2.40 |
30 |
10 |
20/30 |
10 |
|
Hydrocodone |
300.1 > 199.1 |
128.1 |
2.72 |
100 |
10 |
40/70 |
10 |
|
Hydromorphone |
286.2 > 185.1 |
128.0 |
2.00 |
100/50 |
10 |
40/70 |
10 |
|
Ketamine |
238.1 > 125.1 |
179.2 |
3.18 |
50 |
10 |
40/50 |
10 |
|
Lorazepam |
321.0 > 275.1 |
229.1 |
4.93 |
50 |
10 |
50/40 |
14 |
|
MDMA |
194.1 > 163.2 |
105.2 |
2.79 |
50 |
10 |
20/40 |
10/14 |
|
Meperidine |
248.2 > 220.0 |
174.1 |
3.59 |
150 |
10 |
30/30 |
14 |
|
Meprobamate |
219.2 > 158.2 |
97.1 |
4.12 |
100/50 |
10 |
10/20 |
14/10 |
|
Methadone |
310.2 > 265.2 |
105.0 |
4.45 |
150/50 |
10 |
20/20 |
12 |
|
Temazepam |
301.1 > 255.1 |
177.1 |
5.16 |
150/100 |
10 |
50/60 |
12 |
|
Tramadol |
264.2 > 58.1 |
42.1 |
3.34 |
100 |
10 |
60/80 |
12/10 |
|
Zolpidem |
308.1 > 235.1 |
236.2 |
3.82 |
100 |
10 |
50/40 |
10/12 |
|
Morphine |
286.2 > 152.0 |
165.0 |
1.68 |
50/100 |
10 |
80/60 |
14/10 |
|
Naloxone |
328.0 > 128.2 |
115.0 |
2.35 |
100 |
10 |
80/80 |
14 |
|
N-desmethyltapentadol |
208.2 > 107.1 |
121.1 |
3.42 |
100 |
10 |
50/20 |
14/12 |
|
Norbuprenorphine |
414.3 > 83.1 |
101.1 |
3.86 |
150 |
10 |
70/50 |
14/12 |
|
Nordiazepam |
271.1 > 140.0 |
165.1 |
5.10 |
100 |
10 |
50/50 |
14/12 |
|
Norfentanyl |
233.2 > 84.1 |
150.0 |
3.20 |
100 |
10 |
20/20 |
12 |
|
Norketamine |
224.2 > 125.1 |
179.2 |
3.09 |
50/100 |
10 |
50/20 |
12 |
|
Normeperidine |
234.2 > 160.1 |
188.1 |
3.60 |
100/50 |
10 |
20/20 |
10 |
|
Nortriptyline |
264.2 > 91.1 |
117.1 |
4.46 |
50/100 |
10 |
60/20 |
14 |
|
Oxazepam |
287.1 > 241.0 |
269.1 |
4.97 |
100 |
10 |
30/20 |
14 |
|
Oxycodone |
316.2 > 241.0 |
256.0 |
2.62 |
150 |
10 |
50/30 |
14 |
|
Oxymorphone |
302.1 > 227.0 |
198.1 |
1.82 |
100 |
10 |
50/60 |
14/12 |
|
Tapentadol |
222.2 > 107.1 |
121.1 |
3.44 |
100 |
10 |
50/30 |
12 |
|
Zolpidem-phenyl-4-COOH |
338.1 > 265.1 |
266.1 |
3.05 |
100 |
10 |
50/40 |
12 |
|
Clonazepam |
316.1 >102.1 |
123.3 |
2.76 |
26 |
7 |
32/32 |
6 |
|
11-nor-9-carboxy-delta-9-THC |
343.0 > 299.0 |
245.0 |
5.66 |
-125/-75 |
-10 |
-30/-40 |
-14 |
EVOLUTE® EXPRESS CX extraction protocol using the Biotage® Extrahera™ Classic sample preparation automation system
Here, we demonstrate that a large urine panel of 43 DOAs, from multiple drug classes, can be simultaneously extracted using mixed-mode cation exchange despite their disparate intermolecular traits. By carefully selecting the appropriate organic wash and elution conditions we simultaneously enable sample isolation and detection along with minimizing sample matrix effects.
Standards and enzyme hydrolysis
All extracted samples were supplied from a 20 mL working stock of urine spiked with all analytes to yield a final concentration of 50 ng/mL. For each sample analysed, 200 µL of spiked urine was loaded into a 96-position, 2 mL well plate with 200 µL of IMCS buffer along with 25 µL (1250 units, 50K Units/mL) of IMCSzyme β-glucuronidase. All samples were incubated for 30 minutes at 55°C and allowed to reach room temperature prior to acidification with 200 µL of 4% phosphoric acid.
Biotage® Extrahera™ Classic extraction parameters
Briefly, samples were loaded on Extrahera™ and extracted using a 30 mg EVOLUTE® EXPRESS CX 96-well plate. The sorbent was pre-treated with 0.5 and 1.0 mL of methanol and water, respectively, and 600 µL of spiked urine sample (prepared as described above) was loaded. The sorbent was washed twice: first with 4% phosphoric acid and second, with varying amounts of methanol ranging from 0 to 100% aqueous in 10% intervals. Samples were then eluted with two sequential 0.5 mL aliquots of DCM/IPA/NH4OH (78:20:2, v/v) unless otherwise noted. The elution solvent was evaporated under a stream of heated (40 °C) nitrogen at 80 L/min using a Biotage® SPE Dry 96. All extracts were subsequently reconstituted with 150 µL of 10% methanol (aq) and immediately analysed via LC/MS-MS.
Chromatography and mass spectrometry parameters
A Sciex 5500 triple quadrupole mass spectrometer (Sciex, Foster City, CA.) equipped with a Turbo Ionspray® interface for mass analysis was used for direct injection/infusion and extracted urine analyses, respectively. Experimentally determined transitions were acquired under scheduled Multiple Reaction Monitoring (sMRM) mode and their corresponding optic voltages and gas metrics were collected under ESI positive and negative ionization conditions. Finalized chromatographic and mass spectrometric parameters were applied to all samples, which consisted of amphetamines (3), benzodiazepines (7), opioids (19), dissociative anaesthetics (3), carbamates (2), stimulants (2), TCAs (2), anticonvulsants (2), z-drugs (2), and one cannabinoid. LC-MS/MS conditions are shown in table.
Mechanisms of interaction for Gabapentin, Pregabalin, Carisoprodol and Meprobamate using mixed-mode strong cation exchange SPE
The anticonvulsants gabapentin and pregabalin are notoriously difficult to extract due to their zwitterionic nature, however, by adding a sufficient amount of phosphoric acid in the pre-treatment solution it was possible to breach the buffering capacity of the IMCS buffer and reach below the pKa of gabapentin and pregabalin (4.6/9.9 and 4.8/10.2, respectively). This stabilized the positive charge on each compound’s primary amine group while neutralizing their respective carboxylates, which led to a cation exchange interaction with the negatively charged sulfonic acid moiety on the backbone of the EVOLUTE® EXPRESS CX sorbent (Figure 2b). Represented in figure 2a is the relationship between the percent methanol used for wash step #2 in the SPE protocol and the relative peak area for each compound. Although gabapentin shows an approximately 20% lower signal compared to pregabalin, both demonstrate their resistance to the wash step at all intervals enabling the user to tailor their organic wash strength accordingly while maintaining excellent signal.
Figure 2a. Integrated peak area for 50 ng/mL extracted gabapentin and pregabalin under methanol washes ranging from 0 to 100%. Error bars represent standard deviation (n = 4).
Figure 2b. EVOLUTE® EXPRESS CX sorbent’s proposed columbic complexation with pregabalin.
Alternatively, analytes that either lack any Bronsted-Lowry moieties or functional groups capable of pH manipulation are incapable of ion-exchange, thus the main interaction between analyte and sorbent is left to any reverse phase mechanisms. For this panel both meprobamate and its pro-drug analogue, carisoprodol, fall within this category where hydrophobic interaction is the primary means of capture on the EVOLUTE® EXPRESS CX sorbent.
As shown in figure 3a, both carisoprodol and meprobamate peak areas are inversely proportional to that of the concentration of methanol applied in wash step number 2. This is due to the disruption of the hydrophobic interaction between the reverse phase character of the EVOLUTE® EXPRESS sorbent and the methylene side chain of each analyte (Figure 3b). While both possess at least one carbamate functional group, his
“ester-amide” hybrid does not behave as an acid or base within the recognized pH range of 1–14 (Figure 1d). Thus, like most amides, they are unable to participate in ion-exchange due to the resonance stabilization of the co-planar amide N-C=O atoms. Therefore, neither carbamate functional group directly contributes to the analyte’s retention via ion-exchange.
Figure 3a. Integrated peak area for 50 ng/mL extracted Carisoprodol and Meprobamate under methanol washes ranging from 0 to 100%. Error bars represent standard deviation (n = 4).
Figure 3b. EVOLUTE® EXPRESS CX sorbent’s proposed reverse phase affinity with Meprobamate.

Figure 4. Integrated peak areas for the extraction of 50 ng/mL of Meprobamate after (a) 100%, (b) 80%, (c) 60%, (d) 40%, (e) 20%, and (f) 0% methanol used in wash #2. All peaks collected using sMRM. (g) integrated peak areas for methanol washes from 0 to 100% with each peaks’ corresponding S/N using 30 mg EVOLUTE® EXPRESS CX sorbent.
This phenomenon is demonstrated in figures 4a-f, where the peak area of meprobamate decreases with increasing percentage of methanol in wash step 2. Moreover, both signal- to-noise (S/N) and peak area begin to decrease significantly as the percentage of methanol increases above 50% (red dashed line in figure 4g). As illustrated, the zone within the red lines represents the amount of methanol required to maintain maximum peak area and signal-to-noise for this compound (figure 4g). Moreover, a clean retention window and negligible matrix effects are maintained using a 50% methanol wash at 25, 50, and 100 ng/mL (figure 5).

Figure 5. Matrix Effect for 50 ng/mL extracted carisoprodol and meprobamate in urine where > 100% constitutes enhancement and < 100% indicates suppression (n=3).
Nonetheless, even at high levels of methanol, meprobamate still maintains a reasonable signal, with a clean retention window (Figure 4a–c). Like meprobamate, carisoprodol also yielded the same retention window for organic washes and maintains negligible matrix effects at 25, 50, and 100 ng/mL (figure 5, retention window not shown). Although hydrophobic retention seemingly restricts the protocol to a lower % organic wash, thus implying limited clean-up and a higher composition of pigmentation (Figure 6), it does not limit the sorbent’s ability to successfully maintain analyte retention nor prevent an analyst from reaching the lower limits of quantitation for either carisoprodol or meprobamate.
Figure 6. Effect upon pigmentation the percent methanol in wash step 2 upon elution with DCM/IPA/NH4OH at [78:20:2]. (b) Structure of main urinary pigmentation, urobilin, responsible for the yellow colour of urine. (c) Structure of secondary urinary pigment, bilirubin.
Additionally, retention mechanism plays a significant role in the subsequent recovery of analytes via the disruption of their non-covalent interactions with the sorbent. Specifically, both the disruption of cation exchange and reverse-phase interactions directly affects the solubility of each analyte, and therefore their release, recovery, and ultimately, their level of detection. For example, although the reported intensity for both gabapentin and pregabalin was substantial, their recovery was poor when using a 50% MeOH wash (figure 2a and 7, respectively) followed by elution using DCM/IPA/NH4OH. In an effort to determine whether the mechanism controlling analyte elution was steered by ion-exchange, we examined the effect of varying the concentration of ammonia in the elution solvent on recovery of gabapentin and pregabalin (Figure 7).
Interestingly, the effect of increasing ammonia, distributed as NH4OH, had no impact upon the recovery of the analytes indicating that the relatively low recovery was not due to insufficient disruption of the electrostatic mechanism. Furthermore, analysing post-sample load and both wash steps revealed only a small amount of gabapentin and pregabalin (1–20%, data not shown), suggesting the majority of the analytes were still bound to the sorbent by an alternate non-covalent mechanism. The reverse-phase character of the CX sorbent under increasing concentration of ammonia was evaluated by using elution solvents with high dielectric constants. By altering the intermolecular landscape between solvent, sorbent, and the analytes, both gabapentin and pregabalin were readily recovered at levels >98% (figure 7). Therefore, by substituting methanol and acetonitrile, in equal portions, for dichloromethane and isopropyl alcohol, the dielectric profile of the elution solvent (a proportional mixture of both polar-protic and aprotic solvents) closely matched that of the analytes, prompting their subsequent release and recovery. Thus, the combination of ion exchange and reverse- phase interactions governed the capture and release of these two analytes.
Carisoprodol and meprobamate remained insensitive to both solvent systems despite relying on the reverse-phase component of EVOLUTE® EXPRESS CX (Figures 3a and 7).

Figure 7. Effect upon the percent recovery eluting with solvents with low (DCM/IPA/NH4OH) and high (MeOH/ACN/NH4OH) dielectric capacity with increasing percentage of NH4OH (n=3).
While both methanol and acetonitrile provided excellent recoveries for both antiepileptic compounds, as well as opioids and other analyte classes, the elution of urinary pigmentation (urobilin) was also shown to increase (data not shown). Previously, it was determined dichloromethane and isopropyl alcohol reduced the release of urobilin when combined with modest organic washes (figure 6); however, it also reduced analyte recoveries. In an effort to maintain high analyte recoveries and simultaneously suppress urobilin release, we evaluated the solubility of the same compounds by using dichloromethane in combination with various ratios of methanol (polar-protic) and acetonitrile (polar-aprotic) at 2% NH4OH (Figure 8).
Increasing the ratio of methanol in the elution volume from 0% to 20, 30, or 40% resulted in enhanced recovery of both gabapentin (>100%) and pregabalin (> 85%), whereas the same increase with acetonitrile did not show the same effect (Figure 8). This experiment demonstrated that these compounds specifically require a polar-protic solvent for enhanced recovery. Again, neither carisoprodol nor meprobamate showed any pronounced response in recovery. While both gabapentin and pregabalin showed remarkable recoveries when eluting with methanol, compared to acetonitrile or DCM/IPA, using dichloromethane allows for a balance in terms of sample recovery and maintaining low levels of urine pigmentation in the final extract.
Figure 8. Effect upon the percent recovery eluting with DCM/MeOH/ NH4OH and MeOH/ACN/NH4OH with increasing percentage of either polar- protic (MeOH) or polar-aprotic (ACN) solvents with high dielectric capacity.
Summary of optimum retention and elution conditions
Most drugs of abuse classes can be extracted using the well understood mixed-mode reversed phase/cation exchange approach utilizing their basic amine or imine functional groups. However, special attention should be paid to both retention and elution protocols for those with non-typical molecular characteristics, for example:
- Gabapentin and pregabalin (zwitterionic, with both acidic and basic groups)
- Carisoprodol and meprobamate (no ionizable functional groups)
Retention considerations
Gabapentin and pregabalin
Providing these analytes are loaded under low pH conditions, ensuring their basic group is ionized and their acidic group is neutralized, these analytes are retained by both cation exchange and reversed phase interactions. High concentrations of aqueous methanol in wash steps do not significantly reduce analyte recovery.
Carisoprodol and meprobamate
These analytes are retained through reversed phase interactions only, so wash solvents with higher % methanol can lead to reduced recovery. However, retention is sufficient
that a clean retention window using moderate concentrations of methanol can be identified.
Elution considerations
Gabapentin and pregabalin
Recovery of these analytes depends on disruption of the dual retention mechanisms, and choice of solvent in which these analytes are highly soluble. Analyte recovery is improved using an elution solvent consisting of MeOH/ACN/NH4OH compared to the less polar combination of DCM/IPA/NH4OH.
However, choice of elution solvent should also be made with consideration to the cleanliness of the final extract. Urinary pigments are co-eluted with polar elution solvent combinations, leading to yellowish discoloration in the final extract. This can be avoided through the use of a modified elution solvent consisting of DCM/MeOH/NH4OH, without impacting analyte recovery.
In summary, maintaining a specific level of organic wash in addition to formulating the proper ratio of elution solvents will have a profound effect upon the recovery of your analytes and, ultimately, the longevity of your LC/MS system.
Addendum
Additional analytes
Since the original publication of this white paper, approximately 50 compounds have been added to the drugs of abuse panel. These compounds are from all drug classes, including opioids, benzodiazepines, antipsychotics, and antidepressants. Table 1 shows the added compounds, their chemical formulas, LogPs, and pKas.
|
Drug Class |
Compound |
Formula |
LogP |
pKa |
|
Opioid |
6-acetylcodeine |
C20H23NO4 |
1.38 |
9.01, 11.72 |
|
Benzodiazepine |
7-aminoflunitrazepam |
C16H14FN3O |
1.75 |
3.32 |
|
Antipsychotic |
Aripiprazole |
C23H27Cl2N3O2 |
4.9 |
7.46, 13.51 |
|
ADHD drug |
Atomoxetine |
C17H21NO |
3.81 |
9.8 |
|
Antidepressant |
Bupropion |
C13H18ClNO |
3.27 |
8.22, 18.29 |
|
Antidepressant |
Buspirone |
C21H31N5O2 |
1.78 |
7.62 |
|
Anticonvulsant |
Carbamazepine |
C15H12N2O |
2.77 |
15.96, -3.8 |
|
Antihistamine |
Chlorpheniramine |
C16H19ClN2 |
3.58 |
9.47 |
|
Antipsychotic |
Chlorpromazine |
C17H19ClN2S |
4.54 |
9.2 |
|
Antidepressant |
Clomipramine |
C19H23ClN2 |
4.88 |
9.2 |
|
ADHD drug |
Clonidine |
C9H9Cl2N3 |
2.49 |
8.16 |
|
Antipsychotic |
Clozapine |
C18H19ClN4 |
3.4 |
7.35, 15.9 |
|
Stimulant |
Cocaethylene |
C18H23NO4 |
2.64 |
8.77 |
|
Muscle relaxant |
Cyclobenzaprine |
C20H21N |
4.61 |
9.76 |
|
Benzodiazepine |
Desalkylflurazepam |
C15H10N2OClF |
3.35 |
1.8, 12.29 |
|
Opioid |
Dextromethorphan |
C18H25NO |
3.49 |
9.85 |
|
Antidepressant |
Duloxetine |
C18H19NOS |
4.2 |
9.7 |
|
Opioid |
EDDP |
C20H25N |
4.63 |
9.64 |
|
Alcohol |
Ethyl Sulfate |
C2H6O4S |
-0.11 |
-2.1 |
|
Antidepressant |
Fluoxetine |
C17H18F3NO |
4.17 |
9.8 |
|
Antipsychotic |
Haloperidol |
C21H23ClFNO2 |
3.66 |
8.05, 13.96 |
|
Antidepressant |
Hydroxybupropion |
C13H18ClNO2 |
2.22 |
7.65, 14.79 |
|
Benzodiazepine |
Hydroxymidazolam |
C18H13ClFN3O |
2.48 |
4.99, 13.95 |
|
Benzodiazepine |
Hydroxytriazolam |
C17H12Cl2N4O |
2.63 |
1.99, 10.97 |
|
Antidepressant |
Imipramine |
C19H24N2 |
4.28 |
9.2 |
|
Anticonvulsant |
Lamotrigine |
C9H7Cl2N5 |
1.93 |
5.87, 14.98 |
|
Antiepileptic |
Levetiracetam |
C8H14N2O2 |
-0.59 |
16.09, -1 |
|
Stimulant |
Lidocaine |
C14H22N2O |
2.84 |
7.75, 13.78 |
|
Designer drug |
mCPP |
C10H13ClN2 |
2.15 |
8.87 |
|
Stimulant |
MDA |
C10H13NO2 |
1.43 |
10.01 |
|
Stimulant |
MDEA |
C12H17NO2 |
2.5 |
8.52 |
|
Opioid |
Meperidine |
C15H21NO2 |
2.46 |
8.16 |
|
Opioid |
Methadone |
C21H27NO |
5.01 |
9.12, 18.78 |
|
Antidepressant |
Methaqualone |
C16H14N2O |
3.17 |
-1.2 |
|
Designer drug |
Methcathinone |
C10H13NO |
1.61 |
8.02, 18.52 |
|
Benzodiazepine |
Midazolam |
C18H13ClFN3 |
3.33 |
6.57 |
|
Antidepressant |
Mirtazapine |
C17H19N3 |
3.21 |
6.67 |
|
Antidepressant |
n-desmethylclomipramine |
C18H21ClN2 |
4.5 |
10.02 |
|
Antidepressant |
n-desmethylmirtazapine |
C16H17N3 |
2.82 |
8.75 |
|
Antipsychotic |
Olanzapine |
C17H20N4S |
3.39 |
7.24, 14.17 |
|
Anticonvulsant |
Oxcarbazepine |
C15H12N2O2 |
1.82 |
12.92, -4.3 |
|
Antidepressant |
Paroxetine |
C19H20FNO3 |
3.15 |
9.77 |
|
Antiepileptic |
Phenytoin |
C15H12N2O2 |
2.15 |
9.49, -9 |
|
Antipsychotic |
Quetiapine |
C21H25N3O2S |
2.81 |
7.06, 15.12 |
|
Antipsychotic |
Risperidone |
C23H27FN4O2 |
2.63 |
8.76 |
|
Antidepressant |
Sertraline |
C17H17Cl2N |
5.15 |
9.85 |
|
Antidepressant |
Trazodone |
C19H22ClN5O |
3.13 |
7.09 |
|
Benzodiazepine |
Triazolam |
C17H12Cl2N4 |
2.89 |
4.32, 18.08 |
|
Antidepressant |
Trimipramine |
C20H26N2 |
4.76 |
9.42 |
|
Antidepressant |
Venlafaxine |
C17H27NO2 |
2.74 |
8.91, 14.42 |
|
Schizophrenia/Bipolar |
Ziprasidone |
C21H21ClN4OS |
4.3 |
7.09, 13.18 |
Results
As was seen with the original compound list, recoveries and matrix effects were dependent on not only the type of extraction performed, but on the enzyme used. Overall, the synthetic enzymes (IMCSzyme and BGTurbo) yielded higher recoveries and reduced matrix effects.
Opioids
6- acetylcodeine, dextromethorphan, EDDP, meperidine, methadone
Most opioids yielded the highest recoveries when using EVOLUTE® EXPRESS CX, with recoveries >80%. For the newly added opioids to the panel, the EVOLUTE® EXPRESS ABN and ISOLUTE® SLE+ recoveries were also >80%. For matrix effects, EVOLUTE® EXPRESS ABN yielded more suppression than either ISOLUTE® SLE+ or EVOLUTE® EXPRESS CX, with matrix effects of 50–70% for the new compounds. EVOLUTE® EXPRESS CX and ISOLUTE®SLE both resulted in lesser matrix effects of 80–90%.
Benzodiazepines
7- aminoflunitrazepam, desalkylflurazepam, hydroxymidazolam, hydroxytriazolam, midazolam, triazolam
Most of the newly added benzodiazepines had recoveries of at least 60% for EVOLUTE® EXPRESS ABN, ISOLUTE®SLE+ and EVOLUTE® EXPRESS CX. For matrix effects, EVOLUTE® EXPRESS ABN yielded more suppression than either ISOLUTE® SLE+ or EVOLUTE® EXPRESS CX, with matrix effects of 50–70% for the new compounds. EVOLUTE® EXPRESS CX and ISOLUTE® SLE+ both resulted in lesser matrix effects of 70–90%.
Stimulants and Designer Compounds Cocaethylene, MDA, MDEA, lidocaine, mCPP
For the newly added stimulants, ISOLUTE®SLE+ recoveries were >85% and EVOLUTE® EXPRESS ABN and CX were >90%. For matrix effects, EVOLUTE® EXPRESS ABN yielded matrix effects of approximately 60%. ISOLUTE® SLE+ and EVOLUTE® EXPRESS CX resulted in matrix effects of >75%.
Antidepressants and antiepileptics
Bupropion, buspirone, clomipramine, duloxetine, fluoxetine, hydroxybupropion, imipramine, levetiracetam, methaqualone, mirtazapine, n-desmethylclomipramine, n-desmethylmirtazapine, paroxetine, phenytoin, sertraline, trimipramine, venlafaxine
The IMCSzyme resulted in the lowest recoveries (approximately 40%), particularly when using ISOLUTE®SLE+. Other enzymes and extraction techniques yielded recoveries of >80%. For matrix effects, EVOLUTE® EXPRESS ABN yielded matrix effects of 40–70%. ISOLUTE®SLE+ and EVOLUTE® EXPRESS CX resulted in matrix effects of >75%.
Antipsychotics and anticonvulsants
Aripiprazole, carbamazepine, clozapine, haloperidol, lamotrigine, olanzapine, oxcarbazepine, quetiapine, risperidone
Most of the newly added antipsychotics and anticonvulsants had recoveries of at least 60% for EVOLUTE® EXPRESS ABN, ISOLUTE®SLE+ and EVOLUTE® EXPRESS CX. Olanzapine had recoveries of 25–45% for all extraction techniques. Oxcarbazepine had recoveries of 20% for ISOLUTE®SLE+, 40–60% for EVOLUTE® EXPRESS CX, and >85% for EVOLUTE®
EXPRESS ABN. For matrix effects, EVOLUTE® EXPRESS ABN and ISOLUTE®SLE+ yielded matrix effects of 50–70%. EVOLUTE® EXPRESS CX had matrix effects of >80%.
ADHD drugs, muscle relaxants, and schizophrenic/bipolar compounds
Atomoxetine, clonidine, cyclobenzaprine, ziprasidone
Most compounds had recoveries of >80%. Ziprasidone had EVOLUTE® EXPRESS ABN and ISOLUTE®SLE+ recoveries of 50–70%. For matrix effects, EVOLUTE® EXPRESS ABN yielded more suppression than either ISOLUTE®SLE+ or EVOLUTE® EXPRESS CX, with matrix effects of 50–70%. EVOLUTE® EXPRESS CX and ISOLUTE®SLE+ both resulted in lesser matrix effects of 70–90%.
Appendix
Biotage® ExtraheraTM Classic parameters for methods described above.

Literature number: PPS443 (part 2)
Published: Dec 6, 2025 12:30:00 AM