Dec 7, 2025 4:45:00 PM
Automated extraction of Zolmitriptan from plasma using ISOLUTE® SLE+ with Biotage® Extrahera™ Classic
By Biotage
Analyte structure
Figure 1. Structure of Zolmitriptan
Formula: C6H21N3O2
Exact Mass: 287.163 Da
Log P: 2.043
Acidic pKa: 13
Basic pKa: 9.57
Introduction
Typical bioanalysis workflows for small molecules use organic solvents to precipitate proteins and extract the analyte(s). Sometimes, extra clean-up steps, including liquid-liquid extraction (LLE) or solid phase extraction (SPE), are needed to further remove the matrix and enrich analytes to satisfy sensitivity, accuracy, and precision requirements. However, the method development for bioanalysis is rather challenging. Some operating procedures are tedious and difficult to speed up and scale up.
Biotage offers ISOLUTE® SLE+ Supported Liquid Extraction (SLE) technology, to extract and clean analyte(s) from the biomatrix in one step. SLE is analogous to LLE but uses a polar solid media (a modified form of diatomaceous earth) as a physical support to allow the aqueous samples to spread over the surface in a thin layer. When the non-water miscible solvent passes through the bed, the analytes partition into the organic solvent, while the aqueous preferring matrix components remain in the aqueous layer on the surface. Like SPE, SLE relies on a solid phase to extract samples and is easily compatible with labora- tory automation. More importantly, SLE only requires sample pretreatment, load, wait, and elute steps, providing a simpler and faster solution to enrich the organic soluble analytes.
This application note demonstrates the ISOLUTE® SLE+ automa- tion workflow to process plasma samples prior to LC-MS/MS analysis. Zolmitriptan (figure 1), a selective serotonin receptor agonist, was spiked into plasma to mimic the biological samples for PK/PD study and used to evaluate the performance of the workflow. The Biotage® Extrahera™ Classic sample preparation workstation was used to automatically perform all the extraction steps. Our results indicated that this automated workflow offers high analyte recoveries, minimized matrix effect, excellent intra and inter plate precision and accuracy, and significantly reduced bench labor time.
Bioanalytical labs focusing on pre-clinical analysis often follow GLP procedures. As more labs move towards automation, understanding GLP requirements is pertinent. While using the Biotage® Extrahera™ Classic to efficiently process samples, the associated GLP software can be applied to maintain sample integrity and traceability necessary for regulatory focused environments. With the GLP software, the Extrahera™ Classic provides the connectivity needed to export sample data to a network repository where imported data can be securely stored, tracked, and effectively managed. The combination of the user account management, remote viewing, and e-mail notifications further ensures selective analyst access for status run updates, alerts, and method development governance.
The ISOLUTE® SLE+ automation workflow is ideal for small molecule bioanalysis in discovery, preclinical, and clinical research arenas. It can also be used in other LC-MS/MS assays for analytes preferring organic solvents to aqueous. With consideration of biofluid viscosity and sample homogenization (using Biotage® Lysera), this workflow is compatible with all biofluids (e.g., plasma, serum, urine, whole blood, oral fluid, etc.) and non-liquid samples (e.g. cells, tissues). The ISOLUTE® SLE+ plate (or cartridge) is open to manual operation, providing a great solution for all laboratories with manual or automated workflows.
Analyte
Zolmitriptan
Sample preparation procedure
Plasma samples (Human K2EDTA) were processed using the ISOLUTE® SLE+ workflow using the Biotage® Extrahera™ Classic (96 configuration) and the TurboVap® 96 Dual, Figure 2.

Figure 2. ISOLUTE® SLE+ automation workflow for sample preparation in bioanalysis.
* Liquid transfer in steps 1 and 4 can be conducted by liquid handlers, which may further reduce the bench operation time.
Format
ISOLUTE® SLE+ 200 µL Supported Liquid Extraction Plate; Part Number: 820-0200-P01.
Sample pretreatment: Plasma samples were thawed at room temperature. After vortexing 50 µL of the sample (with or without Zolmitriptan) was aliquoted (or reformatted) into a 96-well plate using a pipette (this step could alternatively be performed using a liquid handler).
Automated processing: The aliquoted sample plate was placed in the Extrahera™ Classic (96 configuration) for extraction. Parameters were set (see Appendix) on the touch screen of the instrument to execute the following procedure:
-
Add 150 µL 0.5 M NH4OH (aq) (pretreatment solvent) to each
-
Thoroughly mix the sample with the pretreatment solvent using an aspiration speed of 5 mL/min and a dispense speed of 10 mL/min. Repeat the mixing 3 times.
-
Transfer 190 µL pretreated mixtures and load onto the 200 µL ISOLUTE® SLE+ plate.
-
Apply positive pressure (5 bar) for 5 seconds to allow liquid to adsorb into the ISOLUTE® SLE+ sorbent.
-
Wait for 5
-
Add 500 µL methyl tert-butyl ether (MTBE) to elute the fraction that contains the analyte into the collection
-
Allow flow through by gravity for 2
-
Apply positive pressure at 5 bar for 60 seconds to push all the solvent into the collection plate.
Post extraction
The elution plate was transferred from the Extrahera™ Classic to the TurboVap® 96 Dual evaporator and used the following parameters: N2 flow, 40 L/min; temperature, 25 °C (gas) and 40 °C (plate); plate height, 64 mm. The elution fraction (in MTBE) was dried and then reconstituted using 400 µL ACN/ Water (5:95, v/v) with 0.1% formic acid for LC-MS/MS analysis.
Analytical conditions
U/HPLC conditions:
Instrument: Shimadzu Nexera X2
Column: Restek Ultra AQ C18 3 µm 100 x 2.1 mm CAT # 9178312
Mobile phase:
- Mobile Phase A: 0.1% formic acid in water
- Mobile Phase B: 0.1% formic acid in acetonitrile
- Injection Rinse Solvents: water/ acetonitrile/ methanol/ isopropanol (1/1/1/1, v/v)
Flow rate: 0.4 mL/min
Elution gradient:
|
Time |
B% |
Gradient |
|
0.10 |
2.5 |
isocratic |
|
1.50 |
2.5 |
isocratic |
|
2.60 |
100 |
linear |
|
3.60 |
100 |
isocratic |
|
3.61 |
2.5 |
isocratic |
|
5.50 |
2.5 |
stop |
Column Temperature: 40 °C
Injection Volume: 5 µL
Autosampler Temp: 15 °C
MS/MS conditions
Instrument: Sciex 5500 MSD
Source temp: 550 °C
IonSpray voltage (IS): 5500 kV
Curtain gas: 40 Collision Gas (CAD): 8
Ion source gas 1: 60
Ion source 2: 60
Ion pair for MRM acquisition: 288.1 (Q1 mass, Da)/58.1 (Q3 mass, Da)
Acquisition parameters: DP: 70 V, EP: 10 V, CE: 45 eV, CXP: 10 V,
Dwell time: 50 msec
Results and discussion
The Zolmitriptan spiked plasma was used to evaluate the performance of the ISOLUTE®SLE+ automation workflow for sample preparation in bioanalysis. Our workflow offers ~80% analyte recovery (without internal standard), eliminates matrix effects (~100 %), excellent precision (RSD <6%), and accuracy (with error <± 6%) within and between plates. More importantly, it provides user-friendly automation, significantly shortening the method editing and analyst’s bench labor time.
Figure 3. Working mechanism of SLE
Selection of pretreatment and elution solvents.
SLE is designed for extracting analytes that prefer organic to aqueous by retaining the polar matrix components on the support material and letting the organic analytes pass through with extraction solvents (Figure 3). To ensure the analyte is more favored by the organic solvent than aqueous, we pretreated the plasma with 0.5 M NH3OH solution (pH > 11) to keep Zolmitriptan (pKa 9.64 and Log P 2.2) in a non-ionized state.
MTBE and ethyl acetate (EA) were assessed as elution solvents (Table 1), showing comparable performance. MTBE is slightly better in minimizing the matrix effect, while ethyl acetate is slightly better in recovery. The overall results for the analyte can be further improved if the isotopic labeled internal standard is used in the analysis.
Table 1. Selection of elution solvent: MTBE vs. Ethyl acetate
|
Level |
MTBE |
EA |
|
Recovery (%) |
77 |
81 |
|
QC low (8 ng/mL) |
|
|
|
Matrix effect |
101 |
112 |
|
Recovery (%) |
85 |
84 |
|
QC mid (60 ng/mL) |
|
|
|
Matrix effect |
99 |
119 |
|
Recovery (%) |
82 |
87 |
|
QC high (85 ng/mL) |
|
|
|
Matrix effect |
102 |
114 |
Calibration curves
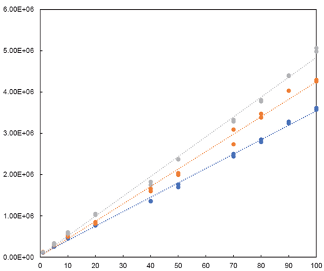
Plasma (Human K2EDTA) spiked with different concentrations of Zolmitriptan (from 1-100 ng/mL) were used for the calibration curve and processed identically with the described workflow. The extracted calibration standards were run at the beginning and repeated at the end of the sequence of batch samples. The range of spiked concentrations was selected based on the published results about the in vivo concentrations of Zolmitriptan1. The regression was established by plotting the spiked analyte concentrations against the determined peak areas. We compared the calibration curves run on 3 plates of different batches on different days (Figure 4) and obtained good reproducibility with satisfactory R (>0.998) in linearity.
Figure 4. Calibration curves run using 3 plates
Equations:
Plate1(blue): y=42173 x + 27830 (R=0.9982); Plate2 (orange): y=47984 x + 37269 (R=0.9989); Plate3 (gray): y= 34855 x + 58662 (R=0.9993)
Accuracy, precision, and phospholipid removal
Three levels of QC samples with spiked analyte concentrations (ng/ml) at 8, 60, and 85 were analyzed to evaluate the accuracy and precision within and between the ISOLUTE® SLE+ plates of different batches (Table 2).
Table 2. Intra- and Inter-Plate accuracy and precision
|
Level |
Intra plate |
Inter plate |
|
|
QC low (8 ng/mL) |
Accuracy (%) |
102.0 |
101.3 |
|
Precision, RSD (%) |
4.8 |
6.0 |
|
|
QC mid (60 ng/mL) |
Accuracy (%) |
105.6 |
105.8 |
|
Precision, RSD (%) |
3.4 |
6.0 |
|
|
QC high (85 ng/mL) |
Accuracy (%) |
105.8 |
105.8 |
|
Precision, RSD (%) |
3.3 |
4.0 |
The experiments were conducted in parallel on 3 plates (each from a different batch) with 3 replicates at each level. Accuracy reflects the trueness of the determined value and is calculated as the percentage between the determined concentration and the spiked concentration. The precision here reflects the reproducibility of determined results and is calculated as the relative standard deviation (RSD, %) of the determined concentration in sample replicates within- and between plates.
Without internal standards, we still received excellent precision (3.3-6.0 %) and accuracy (101.3-105.8 %) within and between the plates. Based on the small number of samples tested in the current study, the ISOLUTE® SLE+ workflow offers comparable results to the traditional protein precipitation method in recovery and accuracy (Table 3).
Table 3. Comparisons between the protein precipitation and the Biotage ISOLUTE® SLE+ automated workflow.
|
|
ISOLUTE® SLE+ workflow |
Protein precipitation |
|
Precision, RSD (%) |
3.4 |
1 |
|
Accuracy (%) |
105.6 |
95.9 |
The precision and accuracy are based on the QC-mid samples (n=3) and calculated in the way described in Table 2.
However, because components in the biomatrix are not extracted by the elution solvents but retained in the aqueous layer suspended on the sorbent, the SLE method can effectively remove the biomatrix interference, eliminating signal suppres- sion in the LC-MS analysis. Figure 5 shows the ISOLUTE® SLE+ effectively removed phospholipids, which were co-extracted by the protein participation method. In actual bioanalysis studies involving multiple batches and hundreds of testing samples, clean sample preparation can greatly reduce signal attenuation, extend the lifetime of the chromatography column, and decrease instrument maintenance downtime.
Figure 5. Phospholipids removal by ISOLUTE® SLE+ in plasma.
The phospholipid profile was monitored by the MRM transition Q1, 184, Da/ Q3, 184, Da using the same LC condition as samples2.
Automation
Based on the built-in SLE (and SPE) workflow module, Biotage® Extrahera™ offers user-friendly touch-screen automation without requiring computer programming skills. Step-by-step guidance for method editing and sample running in Extrahera™ Classic is shown in the Appendix. The success of automation relies on well-tuned offline extract/elute methods and a good understanding of the physical properties of the matrices (e.g., viscosity). To ensure the liquid transfer accuracy and avoid generating bubbles, we changed several parameters. We slowed the aspiration flow to 5 mL/min and the dispense flow rates to 10 mL/min for the sample type (plasma) in the transfer and mixing step. The dispense flow rate for the pretreatment solvent (0.5 M NH4OH) was also decreased to 5 mL/min. While the total experiment time for this workflow to process a 96-well plate took about 102 min, the actual bench operation time has been reduced to ~66 min. Scientists’ bench operation time can be further shortened for laboratories that use liquid handlers to perform sample aliquots and reconstitution (Figure 2).
Conclusion
The ISOLUTE® SLE+ automation workflow demonstrated excellent performance in matrix effect, recovery, linearity, accuracy, and precision for bioanalysis. The Extrahera™ Classic’s user-friendly touch-screen operating interface and walk-away automation can greatly improve the efficiency of bioanalytical laboratories.
Chemicals and reagents
- Zolmitriptan was purchased from Sigma-Aldrich (1727009-200MG)
- Human K2EDTA plasma was purchased from BioIVT, LLC (HMN1082148)
- LC-MS water was purchased from Honeywell International, Inc. (LC365-4)
- Acetonitrile was purchased from Sigma-Aldrich (34851-4L)
- Formic Acid was purchased from Thermo Fisher Scientific (85178)
- Ethyl Acetate was purchased from Sigma-Aldrich (34858-4L)
- MTBE was purchased from Fisher Chemical (UN298)
Additional information
- In this proof-of-concept study, all experiments were conducted without internal standards. The quantitative performance in recovery, accuracy, and precision could be further improved in the actual application by adding the isotope-labeled internal standards.
- In the actual bioanalytical applications, the experiment time for steps 2 and 3 (Figure 2) may be varied according to different methods and solvents, while the operation time spent on maintaining this workflow will be constant.
- The current application is demonstrated on plasma samples. However, this workflow can be adapted to analyze most hydrophobic compounds in various biomatrix. For non-liquid bio-samples (e.g., stool, cell, tissue), a homogenization step (using Biotage® Lysera) is needed before the SLE extraction.
- The workflow presented was performed in a 96-well plate format with Extrahera™ Classic. If desired, ISOLUTE® SLE+ cartridges and the manual positive pressure manifold (Biotage® PRESSURE+) are available to meet different needs.
- We recommend developing and optimizing the extraction and elution conditions offline and then transferring the method onto the automated equipment. This will allow less troubleshooting debate between solvents, volumes, or automation as a source of potential problems.
- We highly recommend running blank matrix samples before the experiment to test and optimize parameters, such as aspiration flow rate, dispense flow rate, lower air gap flow rate, upper air gap flow rate, etc., to ensure accurate liquid/sample transfer in Extrahera™ Classic.
- High-speed centrifugation may be required before injecting into LC-MS/MS for analysis.
- Extrahera™ Classic includes a GLP software package that allows individual logins with different roles and authority. It also has other unique functions, including network share, batch import/export, e-mail notifications regarding the status of the experiment, errors, and clog detection.
- Extrahera™ Classic is a benchtop instrument with a closed chamber connected to the ventilation system. The extraction experiments inside the chamber greatly reduce human exposure to organic solvents. However, manual operation on the positive pressure manifold should happen in the ventilation hood for laboratory safety considerations.
References
- Vishwanathan, Karthick, Michael G. Bartlett, and James T. Stewart. “Determination of antimigraine compounds rizatriptan, zolmitriptan, naratriptan and sumatriptan in human serum by liquid chromatography/electrospray tandem mass spectrometry.” Rapid Communications in Mass Spectrometry 14.3 (2000): 168-172.
- Little JL, Wempe MF, Buchanan CM. “Liquid chromatography- mass spectrometry/mass spectrometry method develop- ment for drug metabolism studies: Examining lipid matrix ionization effects in plasma.” Journal of Chromatography B. 2006 Apr 3;833(2):219-30.
Ordering information
|
Part Number |
Product |
Qty |
|
820-0200-P01 |
ISOLUTE® SLE+ 200 µL Supported Liquid Extraction Plate |
1 |
|
414001 |
Biotage® Extrahera™ Classic |
1 |
|
416990 |
GLP package |
1 |
|
414141 |
1000 µL Clear Tips |
960 |
|
121-5202 |
Collection Plate, 1 mL Square |
50 |
|
418000 |
TurboVap® 96 Dual |
1 |
|
19-060 |
Biotage® Lysera |
1 |
|
19-8005B |
Cryo Cooling Unit |
1 |
|
PPM-96 |
Biotage® PRESSURE+ 96 Positive Pressure Manifold |
1 |
Appendix
Step-by-step guidance for setting methods and running samples in Biotage® Extrahera™ Classic using the ISOLUTE® SLE+ 200 µL Plates. The total time needed to complete adding a method is about 15 min.
Section A: Develop a method to automate SLE experiments in plasma samples.
Step 1: Create a sample type for plasma with updated parameters.
We used plasma in this study. The following settings are based on the plasma’s features to ensure liquid transfer accuracy.
1.1 Go to the home screen and select Data Administration.
1.2 Under the “Data Administration” profile, choose “Manage Sample Types”.
1.3 Select “Aqueous Sample” and click “copy”.
The default setting in the Extrahera does not include the option of “Plasma”. To create a new sample type as plasma, we chose the closest sample type, “Aqueous sample,” copied it, and then made changes to it.

1.4 Update the setting for plasma samples.
- Change sample name to “plasma”.
- Change the Aspiration flow rate (mL/min) to 5.
- Change the Dispense flow rate (mL/min) to 10.
- Keep other settings as default.
- Save the parameters as new sample type “plasma”.

1.5 Review the created plasma sample.
Repeat steps 1.1 and 1.2; you will see “plasma sample” in the sample type list.

Step 2. Create a solvent type for pretreatment solvent with updated parameters.
In this study, we wanted to update the dispense flow rate for the pretreatment solvent (0.5M ammonium hydroxide) to avoid bubbles.
2.1 Go to the home screen and select Data Administration.
2.2 Under the “Data Administration” profile, choose “Manage Solvent Types”.

2.3 Select “0.5 M NH4OH” and click “copy”.

2.4 Update the settings for Solvent.
- Change solvent name to 0.5 M NH4OH- Pretreatment
- Change the Dispense flow rate (mL/min) to 5.
- Keep other settings as default.
- Save the parameters as new solvent type “0.5 M NH4OH- Pretreatment”

Step 3: Develop SLE methods for automation.
3.1 Go to the home screen and select Manage Methods.
3.2 Choose New Method and Select SLE as the Method Type.
3.3 Edit the SLE method for Zolmitriptan analysis.
We suggest the user do preliminary work offline to optimize the analyte-related conditions (e.g., the sample volume, pretreat- ment solvent, and elution/extraction solvent) before moving to automation. The demonstrated information is related to Zolmitriptan and the current study design.
The user can choose to start a new method or make changes to the existing method.
3.3.1 Edit the sample page.
- Click “Sample”.
- Specify the plate format and sorbent chemistry used in the experiment. Here, we use 2 mL Sample Plate, 96; and the ISOLUTE® SLE+ 200 µL.
- Choose “Plasma” from the drop-down manual of Sample type.
- Set the starting sample volume at 50 µL. This value should be the same as the sample aliquot volume described in the method.
- The users can choose whether to reuse the tips for the whole process. We chose “Yes” here.

3.3.2 Edit the pretreatment procedures.
- Click “Pretreatment”.
- Specify the number of steps. We chose 1 here because the method only has one pretreatment step.
- Specify the pretreatment solvent. We chose 0.5 M NH4OH here as it helps to keep the analyte in a hydrophobic-favor state.
- Specify the “mix” number of times. Extrahera uses back-and-forth aspiration and dispenses to mix the samples and pretreatment solvents. We chose 3 times here.

3.3.3 Edit the sample loading procedures.
- Click “Load”.
- Specify the volume of the pretreated sample solution that needs to be transferred and loaded on the SLE plate. This volume should be equal to or lower than the total volume of the pretreated sample solution. In this assay, we mixed 50µL plasma aliquots with 150 µL NH4OH (0.5 M) and only transferred 190 µL to avoid dead volume.
- Specify the waste plate position.
- Specify Air push time. Extrahera provides positive pressure to push the liquid to immerse into the sorbent. For plasma, 5s push time is sufficient. However, this parameter may need to be optimized for other matrices.
- Specify the wait time. We suggest 5 min for most applications.

3.3.4 Edit the elution procedures.
- Click “Elution”.
- Specify the number of elution steps according to the protocol. We chose 1 for this study.
- Specify the elution solvent; here we used MTBE.
- Specify the volume of elution solvent and the collect plate position.
- The wait time here is the time set to allow flow by gravity. We set it to 2 min in this study.
- The air push time is set to allow the positive pressure to push all the elution solvent into the collection plate. We set 60 seconds for this study.

3.3.5 Review the report (Only available in the optional GLP package).
- Click “Report”.
- Review and confirm all the functions the users want to be included in the report.
- Save/Save as the edited method for use in the RUN Method section.

Section B: Run samples using the existing methods.
1. Go to the home screen and select Run Method.
2. Select the Developed Method to Run and click Prepare Run
3. Define sample, solvent, and tips information, and start Run
- Use the touchscreen to set locations for tips, extraction media, sample plate/rack, solvent reservoirs, and collection plates.
- Review and confirm all the information.
- Click RUN to start the automation.

Literature Number: AN989
Published: Dec 7, 2025 4:45:00 PM