Dec 6, 2025 5:45:00 PM
Extraction of fat-soluble vitamins from human serum using ISOLUTE® SLE+
By Biotage
For research use only. NOT for use in diagnostic procedures.

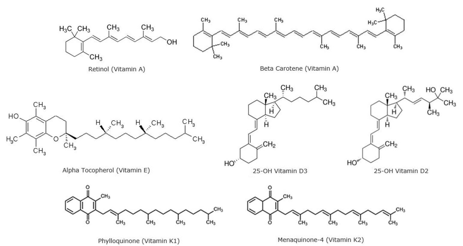
Figure 1. Structures of Retinol and Beta Carotene (Vitamin A), 25-OH-Vitamins D2 and D3 (Vitamin D), Alpha Tocopherol (Vitamin E) and Phylloquinone and Menaquinone-4 (Vitamin K).
This application note describes the extraction of a panel of fat-soluble vitamins (including those representing Vitamins A, D, E & K) from human serum using ISOLUTE® SLE+ Supported Liquid Extraction plates prior to LC/MS analysis.
The simple sample preparation procedure delivers clean extracts and analyte recoveries approximately or above 90% with RSDs lower than 10% for all analytes.
Analytes
Retinol, Beta Carotene, 25-OH Vitamin D2, 25-OH Vitamin D3, Alpha Tocopherol, Phylloquinone, Menaquinone-4.
Internal standards
D6 25-OH Vitamin D3 was used as an internal standard for 25-OH Vitamin D2, 25 OH Vitamin D3 and Retinol. It is recommended that an additional internal standard is used for Vitamin K.
Table 1. Concentration ranges for fat-soluble vitamins.
|
Analyte name and Vitamin reference |
Lower limit of Quantification (ng/mL) |
Upper limit of Quantification (ng/mL) |
|
Alpha Tocopherol (Vitamin E) |
800 |
40000 |
|
Retinol and Beta Carotene (Vitamin A) |
80 |
4000 |
|
25-OH Vitamins D2 & D3 (Vitamin D) |
4 |
200 |
|
Phylloquinone and Menaquinone-4 (Vitamin K) |
0.4 |
20 |
Sample preparation procedure
Format
ISOLUTE® SLE+ 400 µL supported liquid extraction plate, part number 820-0400-P01.
Sample pre-treatment
Internal standard solution (10 µL) and 10 µL of either spiking solvent or calibration standard spiking solution (see ‘Chemicals and Reagents’ section for preparation details) were transferred to a 2 mL collection plate. 100 µL of sample or blank matrix was added, capped, briefly mixed and then left to stand in the dark for 1 hour to equilibrate. The sample was then combined with 400 µL of pre-treatment solvent, briefly mixed and then left to stand for a further 5 minutes.
Figure 2. Demonstrating the different preparation procedure for samples and Calibration Standards.
Sample loading
Approximately 500 µL pre-treated serum (or as much of the sample as possible) was transferred to an ISOLUTE® SLE+ plate. The sample was vigorously drawn up and down into the pipette tip with additional air (by setting a larger volume than the sample e.g. 650 µL) a number of times immediately prior to transfer to create a temporary suspension. If necessary, a low positive pressure was used to push the sample into the SLE material. The ISOLUTE SLE+ plate was then left to equilibrate for 5 minutes.
Elution
Analytes were eluted with 2 x 500 µL heptane.
Post elution and reconstitution
The extract was dried in a stream of air or nitrogen using a Biotage® SPE Dry 96 at room temperature, 20 to 40 L/min.
Evaporated samples were reconstituted with propan-2-ol (IPA, 150 µL) and mixed thoroughly.
UPLC conditions
Instrument
Waters Acquity UPLC
Column
Restek Raptor Biphenyl (100 mm x 2.1 mm, 2.7 µm) with a Restek EXP holder and guard.
Mobile phase
A: 5 mM ammonium acetate 0.1% formic acid (v/v) in water
B: Methanol : Propan-2-ol (3:1 v/v) containing 5 mM ammonium acetate and 0.1% formic acid
Flow rate
0.4 mL/min
Column temperature
40 °C
Autosampler temperature
10 °C
Injection volume
10 μL (Partial Loop with Needle Overfill)
Table 2. UHPLC gradient.
|
Time (min) |
%A |
%B |
|
0 |
60 |
40 |
|
3 |
0 |
100 |
|
5.1 |
0 |
100 |
|
5.2 |
60 |
40 |
|
7 |
60 |
40 |
MS conditions
Instrument
Waters Quattro Premier XE
Desolvation gas flow
1200 L/hr
Cone gas flow
50 L/r
Source temp
150 °C
Desolvation temp
450 °C
Capillary voltage
4 kV
Extractor voltage
3 V
Table 3. MS conditions and retention times for target analytes.
|
Analytes |
MRM Transition |
Collision Energy |
Cone, V |
Period |
|
Alpha Tocopherol (E) |
433.3 > 165.9 |
22 |
25 |
2 |
|
Retinol (A) |
269.3 > 92.9 |
20 |
18 |
1 |
|
Beta Carotene (A) |
536.3 > 444.4 |
15 |
30 |
2 |
|
25-OH Vitamin D2 |
395.5 > 269.5 |
30 |
30 |
1 |
|
25-OH Vitamin D3 |
383.5 > 257.5 |
17 |
30 |
1 |
|
Phylloquinone (K1) |
445.3 > 186.9 |
20 |
22 |
2 |
|
Menaquinone-4 (K2) |
451.4 > 187.0 |
23 |
30 |
2 |
|
D6 25-OH Vitamin D3 (IS) |
389.6 > 263.5 |
16 |
30 |
1 |
All analytes were measured in positive mode using Electrospray ionization.
Note: The transition for Alpha Tocopherol was significantly different from the optimum settings. Due to the high MS sensitivity of the analyte and the high concentrations expected this was intentionally de-tuned on the instrument.
Results
Extraction recoveries were first measured using a manual processing method (using a Biotage® PRESSURE+ 96 manifold). The method was then transferred to a Biotage® Extrahera™ for automated processing. The Extrahera™ recoveries were slightly lower in line with the slower mixing of this compared to the manual method. Extraction recoveries (manual and automated methods), and associated RSDs are shown in table 4.
Table 4. Analyte calibration curve r2 and LOQ performance.
|
Analytes |
Manual |
Biotage® ExtraheraTM |
||
|
|
Recovery |
% RSD |
Recovery |
% RSD |
|
Retinol (A) |
94.9 |
3.3 |
75.9 |
5.3 |
|
Beta Carotene (A) |
89.0 |
4.1 |
71.3 |
10.5 |
|
25 OH Vitamin D2 (D) |
101.0 |
5.1 |
79.2 |
5.4 |
|
25 H Vitamin D3 (D) |
95.6 |
4.6 |
81.9 |
5.5 |
|
Alpha Tocopherol (E) |
99.1 |
4.6 |
84.0 |
4.6 |
|
Phylloquinone (K) |
95.7 |
10.5 |
71.0 |
6.3 |
|
Menaquinone-4 (K) |
95.7 |
9.6 |
73.4 |
4.5 |
D6 25-OH Vitamin D3 was used as an internal standard for 25-OH Vitamin D2, 25-OH Vitamin D3 and Retinol.



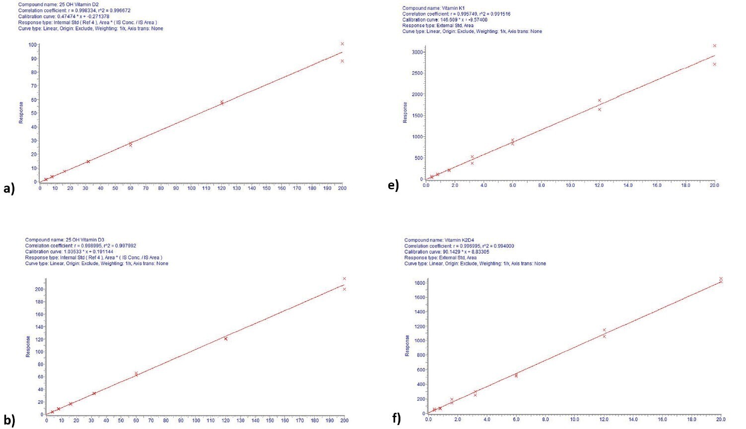
Figure 3. Calibration curves for 25-OH Vitamin D2 (a), 25-OH Vitamin D3 (b), Retinol (c), Alpha Tocopherol (d), Vitamin K1 (Phylloquinone) (e), Vitamin K2d4 (Menaquinone) (f) and Beta Carotene (g).
Figure 4. Representative chromatography for stripped serum spiked at a mid- calibration range (6 ng/mL Vitamin K, 60 ng/mL Vitamin D, 1.2 µg/mL Vitamin A and 12 µg/mL Vitamin E.
Discussion and conclusion
This method provides high, reproducible recoveries of a range of fat-soluble vitamins in human serum, in clinically appropriate concentration ranges.
Due to the extremely non-polar (hydrophobic) nature of the analytes, and the wide difference in biological concentration range, some non-standard modifications to the standard supported liquid extraction process were adopted in this application. See the ‘Additional Method Notes’ section for a comprehensive description of the steps taken to ensure successful extraction of these analytes.
Chemicals and reagents
Stock and sub stock solvent
Where solids were provided these were diluted in a stock solution solvent of MTBE + 1 mg/mL BHT.
Stock solutions were prepared at 1 mg/mL (Retinol, Phylloquinone, Menaquinone). Due to the challenges of precisely weighing an oil Alpha Tocopherol was prepared in stock solution solvent at known concentrations between 1 and 5 mg/mL. Due to limited solubility beta carotene was prepared in stock solution solvent at a concentration of 100 µg/mL. 25-OH Vitamin D2 and D3 were purchased as solutions. All stock solutions were stored protected from light at approximately -20 °C.
Spiking solvent
Spiking solvent was prepared by combining BHT in propan-2-ol (IPA) at a level of 0.1% w/v or 1 mg/mL. As an example: 100 mL of propan-2-ol would be added 100 mg of BHT.
Internal standard solution
Internal standard (D6 25-OH Vitamin D3) was diluted in spiking solvent to a concentration of 1 µg/mL. A 10 µL aliquot of this is equivalent to 100 µL of sample containing internal standard at a level of 100 ng/mL.
Combined fat-soluble vitamin spiking solution
A spiking solvent was prepared by combining fat-soluble vitamin solutions and diluting with spiking solvent such that the following concentrations were met: Vitamin K1 and K2D4 = 200 ng/mL, 25-OH Vitamin D2 and D3 = 2 µg/mL, Retinol and Beta Carotene = 40 µg/mL and Alpha Tocopherol = 400 µg/mL. It is recommended that at least 0.5 mL of this solution is prepared on a daily basis. The “Additional Information” section contains an example spiking procedure to reach the required concentra- tions. It is recommended that this solution is prepared daily.
Calibration standards
Calibration standard spiking solutions were prepared from the combined fat-soluble vitamin spiking solution. The “Additional Information” section contains an example spiking procedure to reach the required concentrations. It is recommended that this solution is prepared daily.
Pretreatment solvent
BHT was combined with a solution of IPA/heptane (1:3, v/v) at a level of 1 mg/mL.
Elution solvent
Heptane was used as the SLE elution solvent. Hexane is an acceptable alternative, but extract cleanliness may be slightly compromised (slightly higher levels of co-extracted phospho- lipids may be observed).
Reconstitution solvent
Propan-2-ol was used as the reconstitution solvent.
Other chemicals and reagents
- Method development was performed using vitamin stripped serum was purchased from Golden West.
- Methanol (LC-MS grade), propan-2-ol (isopropanol) (99.9%), MTBE (99%) ethyl acetate and formic acid (98%) were purchased from Honeywell Research Chemicals (Bucharest, Romania).
- All analyte standards and deuterated internal standards were purchased from Sigma- Aldrich Company Ltd. (Gillingham, UK).
- Water used was 18.2 MOhm-cm, drawn from a Direct-Q5 water purifier.
- Mobile phase A was prepared by accurately weighing approximately 385.4 mg of ammonium acetate. The ammonium acetate (385.4 mg assumed) was then combined with 1 L of water and 1 mL of formic acid. The solution was replaced after 48 hours.
- Mobile phase B was prepared by accurately weighing approximately 385.4 mg of ammonium acetate. The ammonium acetate (385.4 mg assumed) was then combined with 750 mL of methanol, 250 mL of propan-2-ol and 1 mL of formic acid. The solution was replaced after 48 hours.
- Mobile Phase B was partially prepared with propan-2-ol to give improved chromatographic retention times of the later eluting analytes, particularly Beta-Carotene.
- Due to analyte instability the preservative BHT is included in all stock and pre-treatment solvents. BHT is also known as 2,6 Di-tert-butyl-4-methylphenol (Sigma Aldrich (B1378)).
Additional method notes
- In vivo most fat-soluble vitamins are highly protein bound so the serum samples must be treated to significantly reduce these interactions prior to any extraction.
- Any sample incubations were performed in the dark. If using the Biotage® Extrahera™ the internal lights were switched off.
- By adding heptane as a pre-treatment solvent, the solubility of protein freed fat-soluble vitamins in the pre-treated sample was increased. Rapidly aspirating and dispensing the sample in the tip prior to analysis formed a temporary milky colored suspension. Suspension formation was aided by the presence of propan-2-ol which is separately soluble in both serum and heptane.
Figure 5. Images representing sample consistency of sample alone, during sample incubation, after addition of pretreatment solvent and immediately after mixing.
- A volume of 500 µL could be loaded on to the ISOLUTE® SLE 400 because the sample only contained approximately 200 µL of aqueous solvent.
- Due to the consistency of the pre-treated serum it may not flow into the SLE bed under gravity and may require application of positive pressure or vacuum for loading.
- Increased vitamin losses were seen when the extracted samples were evaporated at 40 oC and so this step is performed at room temperature.
- Propan-2-ol was used as the reconstitution solvent in order to keep the beta carotene in
solution over the period of the LC analysis. - The method detailed here involved the use of one internal standard that was used for the measurement of 25-OH Vitamin D2, 25-OH Vitamin D3 and Retinol. Due to the suppression levels seen with Vitamin K measurement, the use of an isotope or structurally similar compound as an additional internal standard to Vitamin K1 and K2D4 is strongly recommended.
- The calibration line for Alpha Tocopherol will show an element of non-linearity due to the high levels of analyte being injected. A similar non-linear plot may also be present for Beta Carotene.
- The preparation method of quality control samples should be carefully considered due to the possible binding of some fat-soluble vitamins to polypropylene in a highly aqueous environment. Although this isn’t an issue for the analytical procedure described here, as the analytes would come back into solution once heptane had been mixed with it, it could be an issue for externally prepared QCs.
- All calibration ranges were set with the aim of quantifying the majority of normal samples. With the Vitamin K analytes these ranges could not be confirmed and so the lowest range that could be confidently measured was used. Due to the small Vitamin K peaks generated it is recommended that if the experiment is performed in an area where manual integration is not permitted, the extracts are analyzed on a more sensitive MS than the one used in this experiment.
- Vitamin K1 and K2D4 were the only compounds that showed a significant level of suppression. This was shown to decrease significantly when less serum was extracted. If running the method on a more sensitive LC-MS than is documented here it is recommended that a reduction of sample volume from 100 to 50 or 20 µL is considered. Note if this is performed the concentration of analytes in sub stock 2 will need to be reduced accordingly.
- To optimize MS performance the analyte detection was separated into two periods. Vitamin Ds (D3, D2 and D6–D3 (IS)) and Retinol were measured in period 1 from 0 to 3.5 minutes. All other components were measured between 3.5 and 6 minutes.
- For increased sensitivity:
- Decrease reconstitution solvent volume below 150 µL
- Consider using an LC-MS instrument with greater sensitivity
- Due to the variability of stock solution concentrations and expected levels of each component in serum, the preparation of appropriate calibration range standards can be challenging. Below is an example of the preparation of calibration standards in a quantity appropriate for up to n=4 analysis which can be used as a guide: Stock solution concentrations assumed.
- Retinol = 1 mg/mL
- Beta carotene = 100 µg/mL
- 25-OH Vitamin D2 = 50 µg/mL
- 25-OH Vitamin D3 = 100 µg/mL
- Alpha Tocopherol = 2 mg/mL
- Phylloquinone = 1 mg/mL
- Menaquinone-4 = 1 mg/mL
- Substock 1. Combine 10 µL of Phylloquinone (K1) with 10 µL Menaquinone-4 (K2D4) and then dilute this mixture to a total volume of 1 mL with the addition of stock and sub stock solvent (MTBE + 0.1% w/v BHT). This solution contains Phylloquinone and
Menaquinone at concentrations of 10 µg/mL each. - Substock 2. Combine 10 µL of substock 1, 10 µL of 25-OH Vitamin D3, 20 µL of retinol, 20 µL of 25-OH Vitamin D2, 100 µL of Alpha Tocopherol and 200 µL of Beta Carotene. Dilute this mixture to a total volume of 0.5 mL with precipitation solvent (IPA + 0.1% BHT).
- This solution contains Alpha Tocopherol at 400 µg/mL, Retinol and Beta Carotene at 40 µg/mL, 25-OH Vitamin D2 and D3 at 2 µg/mL and Vitamin K1 and K2 at 0.2 µg/mL.
Calibration standards were prepared by combining substock 2 with spiking solvent (see Table 5).
Table 5. Spiking regimen of calibration standard spiking solutions.
|
Standard ID |
Volume of Substock 2 (µL) |
Volume of Spiking Solvent (µL) |
|
1 |
10 |
490 |
|
2 |
10 |
240 |
|
3 |
20 |
230 |
|
4 |
40 |
210 |
|
5 |
30 |
70 |
|
6 |
60 |
40 |
|
7 |
100 |
0 |
Ordering information
|
Part Number |
Description |
Quantity |
|
820-0400-P01 |
ISOLUTE® SLE+ 400 µL Supported Liquid Extraction Plate |
1 |
|
PPM-96 |
Biotage® PRESSURE+ 96 Positive Pressure Manifold |
1 |
|
SD-9600-DHS |
Biotage® SPE Dry Sample Concentrator system |
1 |
|
121-5203 |
Collection Plate, 2 mL Square |
50 |
|
121-5204 |
Pierceable Sealing Mat |
50 |
Appendix: Biotage® Extrahera™ settings
The method described in this application note was automated on the Biotage® Extrahera™ using ISOLUTE® SLE+ 400 µL capacity 96-well plates. This appendix contains the software settings required to configure Extrahera™ to run this method. Screenshots may or may not match those here depending upon the instrument software version.
|
Sample Name: |
Fat Soluble Vitamins in Serum |
|
Sample Plate/Rack: |
2 mL 96 well FSV |
|
Extraction Media: |
ISOLUTE® SLE+ 400 µL 96 |



Solvent properties
|
|
Solvent Description |
|
1 |
Heptane : Propan-2-ol |
|
2 |
Heptane |
|
3 |
|
|
4 |
|
|
5 |
|
|
6 |
|
|
7 |
|
|
8 |
|
|
9 |
|
|
10 |
|
|
Solvent |
1 |
2 |
3 |
4 |
5 |
6 |
7 |
8 |
9 |
10 |
|
Reservoir Type |
Refillable |
Non Refillable |
||||||||
|
Capacity |
||||||||||
|
Aspiration flow rate |
10 |
10 |
||||||||
|
Dispense flow rate |
10 |
10 |
||||||||
|
Aspiration post dispense? |
No |
No |
||||||||
|
Lower air gap flow rate |
10 |
10 |
||||||||
|
Lower air gap volume |
5 |
5 |
||||||||
|
Upper air gap flow rate |
120 |
20 |
||||||||
|
Upper air gap volume |
100 |
100 |
||||||||
|
Upper air gap dispense pause |
200 |
200 |
||||||||
|
Conditioning? |
Yes |
Yes |
||||||||
|
Frequency |
1st Asp. Only |
|||||||||
|
Cond. Times |
4 |
4 |
||||||||
|
Cond. Flow rate |
20 |
20 |
||||||||
|
Cond. Volume |
100 |
100 |
||||||||
|
Chlorinated |
No |
No |
||||||||
|
Serial dispense |
No |
No |
||||||||
|
Highly Volatile |
No |
No |
||||||||




Literature Number: AN945
Published: Dec 6, 2025 5:45:00 PM