Microwave assisted organic and peptide synthesis of a non-natural arginine residue and incorporation into a cyclic peptide Mupain-1 analogue
Introduction
There is great interest in peptides as therapeutics.1 However, there are some disadvantages to using peptides, such as their low stability against proteolysis and low bioavailability. There are a number of approaches that can be used to overcome some of these problems, for example to improve stability by incorporating non-natural amino acids (peptidomimetics)2 and macrocyclization.
There is renewed focus in the synthesis of these peptidomimetics but they are often challenging to synthesize and introduce, as they can be expensive and difficult to couple. Microwave heating can be used to overcome some of these difficulties by increasing coupling efficiency and by using less excess of expensive building blocks. In addition, microwave assisted organic synthesis (MAOS) can also be beneficial in the synthesis of these building blocks where accessing higher temperatures and pressures may be required.
Having this dual capability of MAOS and microwave peptide synthesis on one instrument makes it possible to synthesize these non-natural amino acids using MAOS and then incorporation into a peptide using microwave SPPS. This is possible as standard on Biotage® Initiator+ SP Wave and as an option on the Biotage® Initiator+ Alstra™. This dual capability also employs two different mixing techniques; i) magnetic stirring in “Organic Synthesis” mode and ii) vortex or oscillation mixing in “Peptide Synthesis” mode. It is easy to swap between these two modes in a matter of minutes.
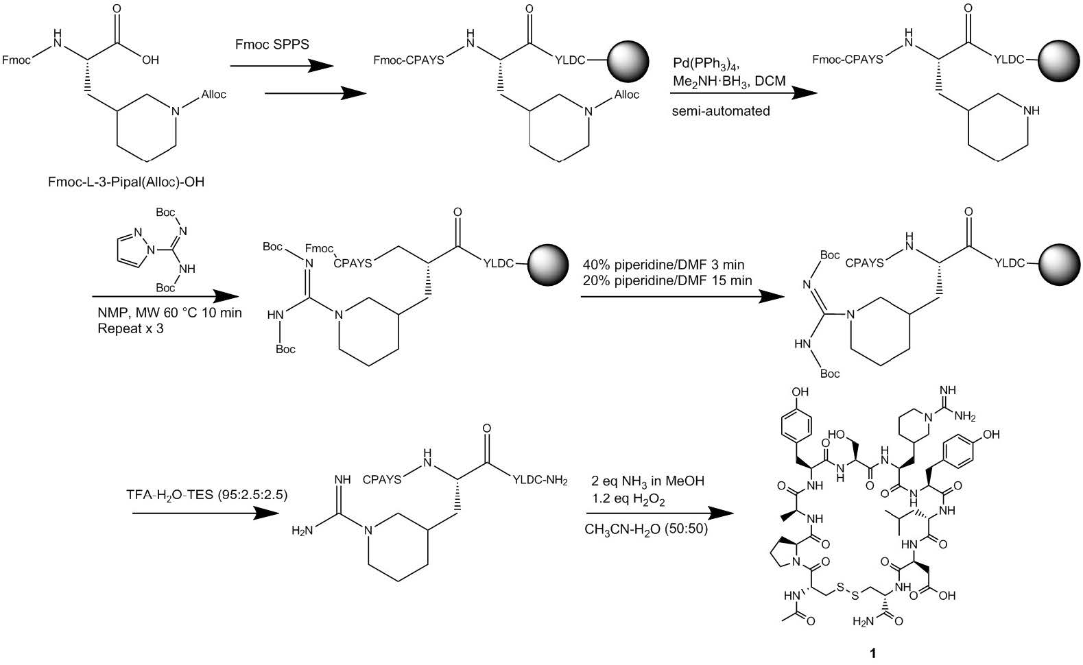
The cyclic peptide mupain-1 (CPAYSRYLDC) is an inhibitor of the cancer-related urokinase-type plasminogen activator.3 Here we show the synthesis of a non-natural arginine building block precursor (Figure 1) using MAOS and then its incorporation and elaboration to the mupain-1 analogue (1) by microwave SPPS (Figure 2)

Figure 1: Non-natural arginine analogue
.png?width=533&height=481&name=biotage-an111-figure2-Mupain-1-analogue-cyclo-CPAYS%5BL-3-(N-amidino-3-piperidyl).png)
Figure 2: Mupain-1 analogue, cyclo-CPAYS[L-3-(N-amidino-3-piperidyl) alanine] YLDC (1).
Experimental
Materials
All materials were obtained from commercial suppliers; Sigma-Aldrich (acetonitrile, formic acid, ammonia in methanol, hydrogen peroxide, diallyl pyrocarbonate (Alloc2O), tetrakis(triphenylphosphine)palladium(0) (Pd(PPh3)4), borane dimethylamine complex (Me2NH·BH3), triethylsilane (TES)) and N,N’-di-Boc-1H-pyrazole-1-carboxamidine. Iris Biotech GmbH (Fmoc-amino acids, N-Fmoc-3-(3-pyridyl)-L-alanine (Fmoc-L-3-Pal-OH), N,N-dimethylformamide (DMF), N-methylpyrrolidone (NMP), N-[(1H-benzotriazol-1-yl)(dimethylamino)methylene]-N-methylmethanaminium hexafluorophosphate N-oxide (HBTU), 1-Hydroxy-7-azabenzotriazole (HOAt), trifluoroacetic acid (TFA), piperidine and N,N-diisopropylethylamine (DIPEA)) and Rapp Polymere GmbH (TentaGel S Rink Amide resin). Milli-Q (Millipore) water was used for LC-MS analysis. Nα-9-fluorenylmethoxycarbonyl (Fmoc) amino acids contained the following side-chain protecting groups: tert-butyl (Asp,Tyr,Ser) and trityl (Trt, for Cys).
Synthesis of non-natural Arginine building block
Fmoc-L-3-Pipal-OH
Fmoc-L-3-Pal-OH (700 mg, 1.8 mmol) was dissolved in acetic acid (10 mL) in a round bottomed flask, and PtO2 (50 mg) was added. The solution was degassed, the flask was connected to a hydrogen balloon, and the reaction was left stirring for two hours. The reaction mixture was filtered and acetic acid was evaporated followed by HPLC purification.
Fmoc-L-3-Pipal(Alloc)-OH
The non-natural arginine building block was prepared on a Biotage® Initiator+ SP Wave microwave peptide synthesizer. Fmoc-L-3-Pipal-OH (100 mg, 0.25 mmol) was placed in a microwave reaction vial (2–5 mL) and dissolved in 2 mL of CH3CN-H2O (50:50 ) and DIPEA 0.5 eq. (42 μl, 0.125 mmol), and diallyl pyro carbonate (51 mg, 0.275 mmol) was added. A magnetic stir bar was added to the microwave reaction vial which was then capped and placed in the microwave cavity. The reaction was then heated for 10 minutes at 60°C with magnetic stirring using the “Organic Synthesis” mode. The mixture was evaporated and purified HPLC (Scheme 1).
The crude building block was purified by RP-HPLC (Dionex Ultimate 3000 system) on a preparative 110 Å C18 column (Phenomenex Gemini, 5 µm, 21.2×100 mm) using the following solvent system: solvent A, water containing 0.1% TFA; solvent B, acetonitrile containing 0.1% TFA. Gradient elution (0–5 min: 5% to 40% B, 5–30 min: 40% to 100%) was applied at a flow rate of 15 mL min-1.
Analysis of the building block was performed by LCMS on a Dionex Ultimate 3000 an ESI-MS (MSQ Plus Mass Spectrometer, Thermo). The peptide was analysed on a Biotage® Resolux™300 Å C18 column (5 μm, 150 × 4.6 mm) with a flow rate of 1.0 mL/min.
Peptide synthesis and analysis
The peptide was prepared by Fmoc solid-phase peptide synthesis on a Biotage® Initiator+ SP Wave microwave peptide synthesizer in “Peptide Synthesis” mode with vortex mixing. The synthesis were carried out on Tenta Gel S Rink Amide resin (0.25 mmol/g) on 0.05 mmol scale in a 5 mL reactor vial.
Nα-Fmoc deprotection was performed at room temperature (RT) in two stages by treating the resin with piperidine/DMF (2:3) for 3 min followed by piperidine/DMF (1:4) for 15 minutes. The resin was then washed with NMP (x2), DCM (x1) and again with NMP (x2).Peptide couplings were performed using 4 eq. of Fmoc-amino acids, 4 eq. of HOAt, 3.9 eq. of HBTU and 7.2 eq. of DIPEA in NMP. A coupling time of 10 minutes at 75 °C was employed and after each coupling step the resin was washed with NMP (x2), DCM (x1) and again with NMP (x2).
Incorporation of the non-natural arginine precursor, was performed using Fmoc-L-3-Pipal(Alloc)-OH (1.1 eq.), HOAt (1.1 eq.), HBTU (1.0 eq.) and DIPEA (1.98 eq.) in DMF using semi-automated synthesis mode. Alloc deprotection to give the corresponding free amine was accomplished by treating the fully protected peptide with a mixture of Pd(PPh3)4 (0.05 eq.) and Me2NH·BH3 (0.2 eq.) in degassed DCM (30 min) and washed with DCM (x1) and NMP (x5).
The peptide was then treated with N,N’-di-Boc-1H-pyrazole-1-carboxamidine (5 eq.) in NMP at 60°C for 15 min and this reaction was repeated three times. After the synthesis was completed, the resin was washed with DCM (x4) and thoroughly dried. The peptide was cleaved from the solid support by treatment with TFA-H2O-TES (95:2:3) for 2h. The TFA solution was concentrated by nitrogen flow and the peptide was precipitated with cold diethyl ether to yield the crude linear peptide product.
Cyclization
The crude linear peptide was purified using preparative RP-HPLC and then the disulphide bridge was formed by dissolving the peptide in 500 mL H2O:CH3CN (50:50). The solution was adjusted to pH 7.5–8 with a solution of NH3 in methanol and H2O2 (1.2 eq.) was then added and the solution was stirred for 40 min (formation of the disulphide bridge). The reaction mixture was then concentrated to dryness.
The crude peptide was purified by RP-HPLC (Dionex Ultimate 3000 system) on a preparative 110 Å C18 column (Phenomenex Gemini, 5 µm, 21.2×100 mm) using the following solvent system: solvent A, water containing 0.1% TFA; solvent B, acetonitrile containing 0.1% TFA. Gradient elution (0–5 min: 5% to 18% B, 5–30 min: 18% to 30% and 30–40 min: 30% to 100% B) was applied at a flow rate of 15 mL min-1.
The peptide purity was assessed by LC MS on a Dionex Ultimate 3000 system and the identification was carried out by ESI-MS (MSQ Plus Mass Spectrometer, Thermo).
Results & discussion
The non-natural arginine building block precursor was synthesized as described above using microwave heating in “Organic Synthesis” mode (Figure 3) to afford Fmoc-L-3-Pipal (Alloc)-OH (98 mg, 81% yield), confirmed by ESI-MS, calculated average isotopic composition for C27H31N2O6, 479.2 Da. Found: m/z 479.2 [M+H]+ (Figure 4). The Alloc protection reaction using diallyl pyro carbonate and microwave heating was fast and efficient compared to the corresponding reaction at room temperature.
-OH_.png?width=610&height=153&name=biotage-an111-figure3-Synthesis-Fmoc-L-3-Pipal(Alloc)-OH_.png)
Figure 3: Synthesis of Fmoc-L-3-Pipal (Alloc)-OH
-OH.png?width=609&height=466&name=biotage-an111-figure4-RP-HPLC-chromatogram-ESI-MS-Fmoc-L-3-Pipal(Alloc)-OH.png)
Figure 4: RP-HPLC chromatogram and ESI-MS of Fmoc-L-3-Pipal (Alloc)-OH.
The linear peptide sequence was assembled using SPPS as described above with microwave heating during the coupling steps (Figure 5).

Figure 5: Synthesis of mupain-1 analogue 1
The disulphide bridge formation was performed in solution phase using high dilution conditions as described above, and after workup and purification gave the desired mupain-1 cyclic peptide analogue (1) containing the non-natural arginine building block. The identity of cyclic peptide (1) was confirmed by ESI-MS, calculated average isotopic composition for C56H80N14O16S2: 1268.5Da. Found: m/z 1297.7 [M+H]+ (Figure 6)

Figure 6: RP-HPLC chromatogram and ESI-MS of the mupain-1 cyclic peptide analogue (1).
Conclusion
We have demonstrated the benefits of a peptide synthesizer with both MAOS and microwave peptide synthesis capability. Synthesis of a non-natural arginine building block was achieved using microwaves in “Organic Synthesis” mode (with magnetic stirring) and then the system was easily converted into “Peptide Synthesis” mode (with vortex mixing) where incorporation of the building block into the peptide using microwave heating was accomplished. The semi-automated operation also showed the benefits of being able to manually add a low excess (1.1 eq.) of the non-natural arginine building block precursor thereby reducing cost and waste of valuable reagents.
References
- Goodwin, D.; Simerska, P.; Toth, I.; Curr. Med. Chem. 2012, 19, 4451–4461.
- a) Gentilucci, L.; De Marco, R.; Cerisoli, L.; Curr. Pharm. Des. 2010, 16, 3185–3203;
b) Lau, Y. H.; Spring, D. R.; Synlett, 2011, 13, 1917–1919;
c) Aillard, B.; Robertson, N. S.; Baldwin, A. R.; Robins, S.; Jamieson, A. G.; Org. Biomol. Chem., 2014, 12, 8775–8782. - Hosseini, M.; Jiang, L.; Sørensen, H. P.; Jensen, J. K.; Christensen, A.; Fogh, S.; Yuan, C.; Andersen, L. M.; Huang, M.; Andreasen, P. A.; Jensen, K. J.; Mol. Pharmacol. 2011, 80, 585–597
Acknowledgements
Prof. Knud J. Jensen and Dr. Kasper Kildegaard Sørensen at the University of Copenhagen
Literature number: AN111