May 10, 2023 2:00:00 PM
What Sorbent should I Use? Selecting the correct SPE Chemistry
By Kyle Dukes
When choosing the stationary phase for SPE understanding the functionality of your target molecule is of critical importance. In order to select the correct SPE chemistry we need to understand how functional groups interact with the sorbent. In general, the stronger the interaction between the sorbent of the SPE and the analytes of interest, the better. The types of interactions that occur in SPE are Polar, Non-Polar (Hydrophobic), and Ion-exchange. Let’s look at each of the interaction mechanisms for a more detailed understanding.
Polar Interactions
Polar interactions are a form of weak charge-charge interactions. Polar molecules have partial positive and negative charges based on the relative electronegativity of individual atoms. If we look at a classic example, water, we can see the oxygen carries a partial negative charge while hydrogen carries a partial positive.

Figure 1: Hydrogen bonding between water molecules, an example of a polar interaction
Other polar interactions include dipole/dipole and pi-pi plus a number of others where the distribution of electrons between individual atoms of the functional groups is unequal, causing positive and negative polarity. The interaction between the partial charges can also occur between the stationary phase in SPE and the analyte of interest. A non-polar solvent will promote retention of a polar analyte onto a polar stationary phase. This interaction can be broken by the addition of a more polar elution solvent like methanol. The polar analyte will be readily soluble in the polar solvent and the polar interaction will be broken, efficiently releasing the analyte.
Non-Polar/ Hydrophobic Interactions
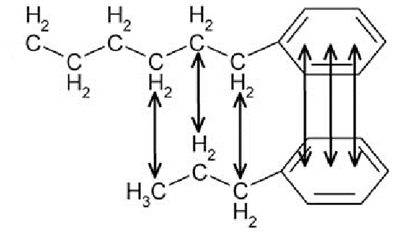
Hydrophobic interactions occur between non-polar molecules, or non-polar parts of a molecule, in an aqueous medium. As discussed in the previous section, water is a polar molecule and will interact with other polar molecules strongly. The reverse is also true, non-polar molecules will interact strongly with other non-polar molecules. In an aqueous medium, non-polar molecules are hydrophobic and will interact with each other over the (polar) water molecules (Figure 2).
Figure 2: Hydrophobic interactions between non-polar molecules
The hydrophobic interaction can also occur between the stationary phase in SPE and the analyte of interest. A polar solvent (for example water) will promote retention of hydrophobic (non-polar) analytes onto a hydrophobic stationary phase. This hydrophobic interaction can be broken with the introduction of lower polarity elution solvents like methanol or a non-polar solvent like hexane. The hydrophobic analytes will be readily soluble in the non-polar solvent and the hydrophobic interaction will be broken.
Ion-Exchange Interactions
Ion-exchange interactions are much stronger than polar or hydrophobic interactions. In an ion-exchange interaction the charges between molecules are not partial, but full-blown positive and negative charges. The electrostatic attraction between the fully ionized molecules represents the strongest interaction in SPE. Figure 3 illustrates an ion-exchange interaction.
Figure 3: Ion-exchange interaction
The strong electrostatic interaction can also occur between the stationary phase in SPE and the analyte of interest. The interaction can be broken if the charge on one of the molecules is neutralized. If the analyte of interest can be neutralized (is not a strong acid or base), the analyte should be neutralized through pH adjustment. If the analyte if interest cannot be fully neutralized (is a strong acid/base), the sorbent should be neutralized. Neutralization is most commonly achieved through the pH of the elution solvent. A discussion of how pKa, pH and charge are related can be found here. High salt concentrations can also screen the charges and effectively neutralize the analyte and stationary phase. This is something to consider when the sample matrix is biological, as many biological specimens (urine) have a high salt concentration and would limit or eliminate ionic interactions.
Mixed-mode Interactions
Modern, polymeric, stationary phases combine hydrophobic and ion-exchange interactions. This “mixed-mode” media is designed with a backbone supporting hydrophobic interactions and a modifiable functional group which supports ion-exchange interactions. The polymeric backbone of the media provides a robust hydrophobic interaction while ion-exchange functional groups provide selectivity. The polymeric backbone also ensures analytes in biological samples, with potentially high concentrations of salts, will be retained if the ion-exchange mechanism is neutralized. Figure 4 illustrates the interaction for the EVOLUTE® EXPRESS CX cation-exchange media.
Figure 4: EVOLUTE® EXPRESS CX Mixed mode stationary phase with hydrophobic backbone and Ion-exchange functionality.
Choosing the Correct Sorbent for SPE
We now know that if our molecule(s) of interest can participate in an ion-exchange chemistry that it is the strongest mechanism of interaction in SPE. While the strength of interaction isn’t necessarily the most important factor to consider in selecting a sorbent for SPE, in general a stronger interaction between the sorbent and the analyte of interest will allow for a more complete removal (wash) of interfering matrix components. For this purpose, Biotage EVOLUTE® SPE products offer both strong and weak cationic (CX/WCX) and anionic (AX/WAX) stationary phases. If an ion-exchange retention mechanism is not possible, the polymeric ABN stationary phase combines polar and hydrophobic functionality to maximize retention. Understanding the best retention mechanism will allow for the maximum sample clean-up for your analysis.
Click the button below for additional information on selecting the correct sorbent chemistry:
Published: May 10, 2023 2:00:00 PM
